民族园原计划植树
55棵,实际比计划少植[
]|
A .55×(1+ |
B .55×(1- |
|
C .55÷(1+ |
D .55÷(1- |
晨光小学今年有小足球队员
40人,比去年增加了[
]|
A .40×(1+ |
B .40÷(1+ |
|
C .40÷(1- |
D .40×(1- |
给算式选择正确的答案.
[ ]
|
(1) |
A . |
|
(2)( |
B . |
|
(3) |
C . |
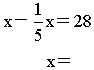
解方程
![]()
[
]|
A .x= |
B .x= |
|
C .x=21 |
D .x=35 |
芳草小学新建两块花圃,第一块的面积是
40平方米,第二块的面积比第一块的[
]|
A .32平方米 |
B . |
|
C . |
D .74平方米 |
5
-[
]|
A .0 |
B . |
|
C .8 |
D . |
![]()
[
]|
A .0 |
B . |
|
C .8 |
D . |
0
÷[
]|
A .0 |
B . |
|
C .8 |
D . |
![]()
[
]|
A .0 |
B . |
|
C .8 |
D . |