搜索
表示
(
)
个
加上
(
)
个
,共有
(
)
个
,和是
.
的分数单位是
,它含
(
)
有个这样的分数单位.
(
分数,先填分子,后填分母.
)
涂一涂,填一填.
先用分数表示下面图中的阴影部分,再用适当的符号把三个分数连接起来.
(
从左到右填写,分数,先填分子,后填分母
)
.
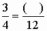
在
(
)
里填上合适的数.
(
分数,先填分子,后填分母
)
(1)
(2)
(3)
(4)
0
61450
61458
61464
61468
61474
61476
61480
61486
61488
61494
61500
61504
61506
61510
61516
61518
61524
61528
61530
61534
61536
61540
61542
61544
61545
61546
61548
61549
61550
61552
61554
61558
61560
61564
61566
61570
61576
61578
61584
61588
61590
61594
61600
61606
61608
61614
61618
61620
61626
61630
61636
61644
199269
关 闭
试题分类
高中
数学
英语
物理
化学
生物
地理
初中
数学
英语
物理
化学
生物
地理
小学
数学
英语
其他
阅读理解答案
已回答习题
未回答习题
题目汇总
试卷汇总
练习册解析答案