在
( )里填上合适的数.(分数,先填分子,后填分母)|
(1) |
(2) |
|
(3) |
(4) |
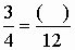
在
( )里填上合适的数.(分数,先填分子,后填分母)|
(1) |
(2) |
(3) |
(4) |
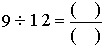
在
( )里填上合适的数.(分数,先填分子,后填分母)|
(1) |
(2) |
|
(3) |
(4) |
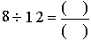
在
( )里填上合适的数.(分数,先填分子,后填分母)|
(1) |
(2) |
(3) |
(4) |