一堆货物8吨,第一次运走,第二次运走吨,还剩下多少吨?正确的列式计算是
[ ]
A.
B.
C.
D.
一个数的等于120的,这个数是
A.100
B.80
C.125
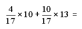
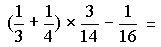
用简便方法计算.
六(1)班学生人数的等于六(2)班学生人数的,已知六(2)班有48人,六(1)班有
A.64人
B.45人
C.36人
A.第一根绳子剩下的长
B.第二根绳子剩下的长
C.两根绳子剩下的长度一样
D.无法比较
A.>
B.<
C.=
节省了多少千瓦·时?正确的算式是
A. B.
C. D.
一个长方体木块,它的长、宽、高分别是8厘米、5厘米、4厘米.如果用它切出一个最大的正方体,则切出的正方体体积是原来长方体体积的百分之几?正确的解答是