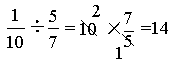
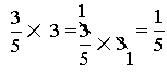
0 59100 59108 59114 59118 59124 59126 59130 59136 59138 59144 59150 59154 59156 59160 59166 59168 59174 59178 59180 59184 59186 59190 59192 59194 59195 59196 59198 59199 59200 59202 59204 59208 59210 59214 59216 59220 59226 59228 59234 59238 59240 59244 59250 59256 59258 59264 59268 59270 59276 59280 59286 59294 199269