搜索
题目内容
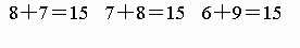
做冰糖葫芦.
试题答案
相关练习册答案
答案:略
解析:
多种答案,如:
练习册系列答案
PASS教材搭档系列答案
天利38套中考总复习命题规律与必考压轴题系列答案
天利38套对接中考中考总复习系列答案
欢乐校园成长大本营系列答案
速算天地数学口算心算系列答案
万唯教育中考真题分类集训系列答案
赢战中考3年中考2年模拟系列答案
中考专题讲练系列答案
中考总复习名师面对面系列答案
本土练霸系列答案
相关题目
做冰糖葫芦.
做冰糖葫芦.
做冰糖葫芦.
关 闭
试题分类
高中
数学
英语
物理
化学
生物
地理
初中
数学
英语
物理
化学
生物
地理
小学
数学
英语
其他
阅读理解答案
已回答习题
未回答习题
题目汇总
试卷汇总
练习册解析答案