题目内容

两个最简真分数的乘积是,请写出三个符合条件的算式.

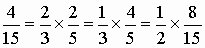
答案:
解析:


提示:

由于4可以分成1×42×215可以分成3×5,因此我们可以很容易写出两个符合条件的算式:,另外两个分数在相乘时有可能出现约分的情况,因此可以写出第三个算式:.其实这样的算式还有很多,同学们不妨再试着写一些.


练习册系列答案
相关题目

违法和不良信息举报电话:027-86699610 举报邮箱:58377363@163.com

精英家教网