搜索
题目内容
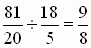
一个数乘以
等于
,这个数是
.
(分数,先填分子,后填分母)
试题答案
相关练习册答案
答案:9,8
解析:
练习册系列答案
1加1阅读好卷系列答案
专项复习训练系列答案
初中语文教与学阅读系列答案
阅读快车系列答案
完形填空与阅读理解周秘计划系列答案
英语阅读理解150篇系列答案
奔腾英语系列答案
标准阅读系列答案
53English系列答案
考纲强化阅读系列答案
相关题目
列式计算
(1)一个数加上3,减去4,差乘以5,积再除以6,最后得20,这个数是多少?(列方程)
(2)一个最简分数,分子扩大5倍,分母缩小6倍等于14,这个最简分数原来是几?
列式计算
(1)一个数加上3,减去4,差乘以5,积再除以6,最后得20,这个数是多少?(列方程)
(2)一个最简分数,分子扩大5倍,分母缩小6倍等于14,这个最简分数原来是几?
关 闭
试题分类
高中
数学
英语
物理
化学
生物
地理
初中
数学
英语
物理
化学
生物
地理
小学
数学
英语
其他
阅读理解答案
已回答习题
未回答习题
题目汇总
试卷汇总
练习册解析答案