题目内容
写出用
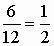
答案:
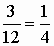
解析:
解析:
|
|
练习册系列答案
相关题目
写出用“米”作单位的分数和小数.
(分数,先填分子,后填分母)![]()
海象的皮肤约
25毫米厚.|
(1) 分数: |
(2) 小数:( )米 |
题目内容
写出用
|
|
写出用“米”作单位的分数和小数.
(分数,先填分子,后填分母)![]()
海象的皮肤约
25毫米厚.|
(1) 分数: |
(2) 小数:( )米 |