题目内容
5k
g花生可榨出2.1kg花生油.照这样计算,要想榨出31.5kg花生油,需要多少千克花生?
答案:75千克#75kg
解析:
解析:
|
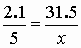
解:设需要 x千克花生,
|
练习册系列答案
相关题目
题目内容
5k
g花生可榨出2.1kg花生油.照这样计算,要想榨出31.5kg花生油,需要多少千克花生?|
解:设需要 x千克花生,
|