题目内容

一艘轮船航行于相距162千米的两码头间,顺流航行这段距离所需的时间比逆流航行这段距离所需的时间少1时21分,而顺流航行的速度是逆流航行速度的倍.求轮船在静水中的速度是多少?

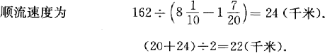
答案:
解析:

  答:轮船在静水中的速度是22千米.

  由顺流速度是逆流速度的倍可知,顺流速度∶逆流速度=6∶5.这样顺流时间与逆流时间比为5∶6.再由两者时间差可求出顺流时间和逆流时间.这样问题就容易解答了.


练习册系列答案
相关题目

违法和不良信息举报电话:027-86699610 举报邮箱:58377363@163.com

精英家教网