搜索
题目内容
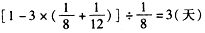
一项工程,甲单独做8天完成,乙单独做12天完成。现在甲乙合做3天后,剩下的由甲独做,还需几天完成?
试题答案
相关练习册答案
练习册系列答案
成功训练计划系列答案
倍速训练法直通中考考点系列答案
浙江名卷系列答案
励耘活页系列答案
一卷搞定系列答案
名校作业本系列答案
提分教练系列答案
尖子生学案系列答案
满分训练设计系列答案
轻巧夺冠周测月考直通名校系列答案
相关题目
一项工程,甲单独做8天完成,乙单独做12天完成,两队合作4天后,剩下的任务由乙单独完成,还需要多少天?
(2008?信丰县模拟)一项工程,甲单独做8小时完成,乙每小时做30个.现在甲乙二人合做,完成时,甲做了这项工程的
5
8
,乙做了多少个?
(2007?庐江县)一项工程,甲单独做8小时完成,乙单独做8小时只能完成这项工程的
4
5
.这项工程如果由甲、乙两队合作,需要多少小时才能完成?
(2004?南京)一项工程,甲单独做8天完成,乙单独做12天完成.两人合做这项工程,多少天可以完成?
下列各题只列算式(或方程),不用计算.
(1)一项工程,甲单独做8天完成,乙单独做6天完成.两人合做这项工程,多少天可以完成?
(2)钢铁厂去年生产钢材270万吨,比计划多生产30万吨,实际比计划多生产百分之几?
(3)商店运来500千克桔子,比运来的苹果的2倍少60千克,商店运来的苹果有多少千克?
(4)有一根绳子,剪去其中的
5
8
,还剩下5米.求这根绳子原来有多长?
关 闭
试题分类
高中
数学
英语
物理
化学
生物
地理
初中
数学
英语
物理
化学
生物
地理
小学
数学
英语
其他
阅读理解答案
已回答习题
未回答习题
题目汇总
试卷汇总
练习册解析答案