题目内容

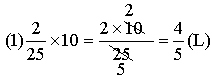
(1)这辆小汽车行驶10km耗油升?

(2)这辆小汽车行驶km耗油升?

(填写分数时,先填分子,后填分母)

答案:4,5;3,50
解析:


提示:

(1)求这辆小汽车行驶10km耗油的数量就是求10的和,根据分数乘整数的意义,应列式为.计算时,由于1025有公约数5,因此可以先约分,再计算.

(2)求这辆小汽车行驶km耗油的数量就是求是多少,根据分数乘分数的意义,应列式为.在计算时,由于24有公约数2,因此也可以先约分,再计算.


练习册系列答案
相关题目

违法和不良信息举报电话:027-86699610 举报邮箱:58377363@163.com

精英家教网