题目内容
| 下面各题,怎样简便怎样算。 | ||||||
|
| (1)884÷34+17×21 =26+357 =383 |
(2)4.2÷1.5-1.5×0.6 = =1.9 |
(3)1593- =1593-(44×20÷5) =1417 |
| (4)24÷7+15÷7+10÷7 =(24+15+10)-7 =7 |
(5)104×0.25 =26×4×0.25 =26 |
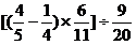
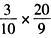
(6) = = |
练习册系列答案
相关题目
题目内容
| 下面各题,怎样简便怎样算。 | ||||||
|
| (1)884÷34+17×21 =26+357 =383 |
(2)4.2÷1.5-1.5×0.6 = =1.9 |
(3)1593- =1593-(44×20÷5) =1417 |
| (4)24÷7+15÷7+10÷7 =(24+15+10)-7 =7 |
(5)104×0.25 =26×4×0.25 =26 |
(6) = = |