题目内容

你知道怎样求圆锥的侧面积吗?

答案:
解析:

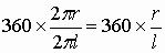
  如图中圆锥的底面半径是r,图中线段AB的长设为l(AB这条线段也叫做圆锥的母线).将圆锥展开后会得到一个扇形,这个扇形的半径就是l,那么这个扇形的圆心角是多少度呢?

  我们可以这样来计算扇形圆心角的度数:,那么扇形的面积应为:,这也就是求圆锥侧面积的公式.

  在六年级上册中,曾经给大家介绍过《九章算术》上计算圆面积的公式是“周径相乘,四而一”,也就是圆的面积等于圆的周长乘直径的积再除以4所得的商.这个公式是非常奇妙的,三国时的大数学家刘徽发现用这个公式也可以计算圆锥的侧面积,你相信吗?在这里“周”就指圆锥的底面周长,“径”是指图()中从BA再到C的两条线段的总长度(即母线两倍的长度).我们来验证一下这个公式能不能求圆锥的侧面积:

  这样做果然也得到了圆锥的侧面积.同一个公式,对于两个图形都能适用,这说明了什么?我们是不是可以这样来看:将圆看成是顶点落到底面圆心上高度为0的一个特殊的圆锥,即圆是圆锥的一个退化情形.你觉得呢?


练习册系列答案
相关题目

违法和不良信息举报电话:027-86699610 举报邮箱:58377363@163.com

精英家教网