题目内容
(1)
(2)
(2)
分析:(1)观察题干可知:三角形中下面两个数字之和等于上面的数字,由此即可将三角形中的数字补充完整;
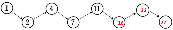
(2)从第一个数字开始依次递增:分别是+1、+2、+3、+4…,由此规律即可填出下面圆圈里的数字.
(2)从第一个数字开始依次递增:分别是+1、+2、+3、+4…,由此规律即可填出下面圆圈里的数字.
解答:解:(1)5+9=14,17-4=13,所以可将三角形中的数字补充完整如下:

(2)11+5=16,16+6=22,22+7=29,由此可以将图形补充完整如下:

(2)11+5=16,16+6=22,22+7=29,由此可以将图形补充完整如下:
点评:主要考查了学生通过特例分析从而归纳总结出一般结论的能力.对于找规律的题目首先应找出哪些部分发生了变化,是按照什么规律变化的,通过分析找到各部分的变化规律后直接利用规律求解.
练习册系列答案
相关题目