搜索
题目内容
计算下面各题。
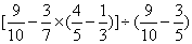
(1)
(2)
(3)
(4)
试题答案
相关练习册答案
(1)
=
+
=
(2)
=
=
(3)
=
=
(4)
=
=
练习册系列答案
口算题天天练系列答案
正大图书练测考系列答案
一本必胜系列答案
进阶集训系列答案
尖子生单元测试系列答案
轻松假期行暑假用书系列答案
世纪百通主体课堂小学课时同步练习系列答案
经纶学典棒棒堂系列答案
全程导航大提速系列答案
课程导学系列答案
相关题目
(2010?重庆)计算下面各题,能简算和要简算.
(
4
5
+
1
4
)÷
2
3
12
5
×(
5
6
+
3
4
)
6.28+5.74+3.72+5.26
4.27×
1
8
+4.73÷8+
1
8
(2.3+2.3+2.3+2.3)×2.5.
计算下面各题.
10÷5×2.5+8;
23÷(0.09+0.01)×20;
5.6×0.9-0.8×5.6.
用竖式计算下面各题.
130×45
608×53
68×319
364÷26
650÷28
4729÷67.
计算下面各题
(145+55)÷20
420÷60×154
774÷(27+16)
230-735÷35
480÷32-15
244-63×3.
计算下面各题.(能简算的要简算)
36×(559-512 )
4÷(75%+50%-1)
4.75×37.5%+38×5.25.
关 闭
试题分类
高中
数学
英语
物理
化学
生物
地理
初中
数学
英语
物理
化学
生物
地理
小学
数学
英语
其他
阅读理解答案
已回答习题
未回答习题
题目汇总
试卷汇总
练习册解析答案