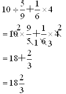
题目内容
![]()
(
带分数,先填整数,再填分子,最后填分母)
答案:18,2,3
解析:
解析:
|
|
练习册系列答案
相关题目
直接写出得数
(分数,先填分子,再填分母)(带分数,先填整数部分,再填分子,最后填分母)|
(1) |
(2) |
|
(3) |
(4) |
题目内容
![]()
(
带分数,先填整数,再填分子,最后填分母)|
|
直接写出得数
(分数,先填分子,再填分母)(带分数,先填整数部分,再填分子,最后填分母)|
(1) |
(2) |
|
(3) |
(4) |