搜索
题目内容
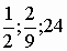
直接写出得数(分数先填分子,后填分母)
试题答案
相关练习册答案
答案:1,2;2,9;24
解析:
练习册系列答案
新思维冲刺小升初达标总复习系列答案
课时练优选卷系列答案
金榜小状元系列答案
单元自测题同步达标测试卷系列答案
小考练兵场系列答案
创新设计高考总复习系列答案
魔法教程课本诠释与思维拓展训练系列答案
北京市小学毕业考试考试说明系列答案
晨读晚练系列答案
小学毕业考试试卷精编系列答案
相关题目
直接写出得数(分数先填分子,后填分母)
直接写出得数
(分数先填分子,后填分母)
直接写出得数(分数先填分子,后填分母)
直接写出得数(分数先填分子,后填分母)
(
1
)
=
(
2
)
(
3
)
直接写出得数(分数先填分子,后填分母)
(
1
)
( )
(
2
)
(
3
)
关 闭
试题分类
高中
数学
英语
物理
化学
生物
地理
初中
数学
英语
物理
化学
生物
地理
小学
数学
英语
其他
阅读理解答案
已回答习题
未回答习题
题目汇总
试卷汇总
练习册解析答案