21.(12分)已知函数f(x)=2x2+mx-1,集合A={x|
log2(x+2)≥log2(x2+x+1)},B={x|32x2-1≤1}.
(1)设f(x)≤0的解集为C,若C⊆(A∪B),求m的取值范围;
(2)当m∈A,x∈B时,求证:|f(x)|≤.
解:由题意A=[-1,1],B=[-,],
∴A∪B=[-1,1].
(1)∵C={x|2x2+mx-1≤0}且C⊆(A∪B),
∴不等式2x2+mx-1≤0的解集是[-1,1]的子集.
∵Δ=m2+8>0,
∴只要即可,解得-1≤m≤1.
∴m的取值范围为[-1,1].
(2)∵m∈A,x∈B,∴|m|≤1,x2≤.
∴|f(x)|=|2x2-1+mx|≤|2x2-1|+|mx|
20.(12分)某工厂拟建一座平面图为矩形,面积为200 m2,高度一定的三段污水处理池(如下图).由于受地形限制,其长、宽都不能超过16 m,如果池的外壁的建造费单价为400元/m,池中两道隔墙的建造费单价为248元/m,池底的建造费单价为80元/m2,试设计水池的长x和宽y(x>y),使总造价最低,并求出这个最低造价.
解:设污水池长为x m,则宽为 m,且0<x≤16,0<≤16,两道隔墙与宽边平行时,造价较省,设总价为Q(x),则Q(x)=400(2x+2×)+248×2×+80×200=800(x+)+16000≥1600+16000=44800.
当且仅当x=(x>0),即x=18时取等号,∴44800不是最小值.
又∵0<x≤16,0<≤16,12.5≤x≤16,而Q(x)在[12.5,16]上单调递减,
∴Q(x)≥Q(16)=800(16+)+16000=45000(元).
故水池长为16 m,宽为12.5 m时,其总造价最低,最低造价为45000元.
19.(12分)(2009·绵阳二诊)已知f(x)=x3+mx2-x+2(m∈R).
(1)如果函数f(x)的单调递减区间为(-,1),求函数f(x)的解析式;
(2)(理)若f(x)的导函数为f′(x),对任意的x∈(0,+∞),不等式f′(x)≥2xlnx-1恒成立,求实数m的取值范围.
(文)若f(x)的导函数为f′(x),对任意的x∈(0,+∞),不等式f′(x)≥2(1-m)恒成立,求实数m的取值范围.
解:(1)f′(x)=3x2+2mx-1.
由题意f′(x)=3x2+2mx-1<0的解集是(-,1),
即3x2+2mx-1=0的两根分别是-,1.
将x=1或x=-代入方程3x2+2mx-1=0得m=-1.
∴f(x)=x3-x2-x+2.
(2)(理)由题意知3x2+2mx-1≥2xlnx-1在x∈
(0,+∞)时恒成立,即m≥lnx-x在x∈(0,+∞)时恒成立.
设h(x)=lnx-,则h′(x)=-.令h′(x)=0,得x=.
当0<x<时,h′(x)>0;当x>时,h′(x)<0,
∴当x=时,h(x)取得最大值,h(x)max=ln-1=ln2-ln3e,所以m≥ln2-ln3e.
因此m的取值范围是[ln2-ln3e,+∞).
(文)由题意知3x2+2mx-1≥2(1-m)在x∈(0,+∞)时恒成立,即2mx+2m≥3-3x2,所以2m(x+1)≥3(1-x2).
由于x∈(0,+∞),于是2m≥3(1-x),得m≥(1-x).
而(1-x)<,所以m的取值范围为[,+∞).
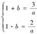
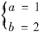
18.(12分)已知不等式log2(ax2-3x+6)>2的解集是{x|x<1或x>b}.
(1)求a,b的值;
(2)解不等式>0(c为常数).
解:(1)不等式log2(ax2-3x+6)>2⇔ax2-3x+2>0,
由已知,该不等式的解集是{x|x<1或x>b}.
∴,解得.
(2)当a=1,b=2时,不等式>0变为>0.
∴<0,即(x-c)(x+2)<0.
∴当c<-2时,解集为(c,-2);当c=-2时,解集为空集;当c>-2时,解集为(-2,c).
17.(12分)已知a,b,c为互不相等的正数,且abc=1,
求证:++<++.
证明:证法1:∵a,b,c是不等正数,且abc=1,
∴++=++
<++=++.
证法2:∵a,b,c是不等正数,且abc=1,
∴++=bc+ca+ab
=++
>++
=++.
16.(2009·江西高考)若不等式≤k(x+2)-的解集为区间[a,b],且b-a=2,则k=________.
解析:在坐标系下画出函数y=与y=k(x+2)-的图象,结合图象,通过观察与分析可知,a=1,b=3,由此可知点(1,2)是函数y=与y=k(x+2)-的图象的交点,因此有2=k(1+2)-,k=.
答案:
15.若f(x)是R上的减函数,且f(x)的图象经过点A(0,3)和B(3,-1),则不等式|f(x+1)-1|<2的解集是______.
解析:-1<f(x+1)<3,又f(0)=3,f(3)=-1,
所以f(3)<f(x+1)<f(0),
又f(x)是减函数,所以0<x+1<3,-1<x<2.
答案:{x|-1<x<2}
14.已知函数f(x)=sinx+5x,x∈(-1,1)若f(1-a)+
f(1-a2)<0,则a的取值范围是__________.
解析:由f(x)在(-1,1)上是单调递增的奇函数,由f(1-a)+f(1-a2)<0成立,转化为⇒1<a<.
答案:(1,)
13.不等式2x-+1≤的解集为__________.
解析:依题意得,2x-+1≤2-1,x-+1≤-1,即≤0,解得不等式的解集为{x|x≤-3或0<x≤1}.
答案:{x|x≤-3或0<x≤1}
12.(2009·郑州二模)已知命题P:不等式lg[x(1-x)+1]>0的解集为{x|0<x<1};命题Q:在三角形ABC中,∠A>∠B是cos2(+)<cos2(+)成立的必要而非充分条件,则( )
A.P真Q假 B.P且Q为真
C.P且Q为假 D.P假Q真
解析:依题意,由lg[x(1-x)+1]>0得x(1-x)+1>1,∴x-x2>0,解得0<x<1,所以命题P正确;在三角形ABC中,∠A>∠B⇔sinA>sinB⇔-cos(+A)>-cos(+B)⇔
-2cos2(+)+1>-2cos2(+)+1⇔cos2(+)<cos2(+),所以命题Q是假命题,选择A.
答案:A