搜索
摘要:17.已知关于的不等式:. ⑴当时.解该不等式, ⑵当时.解该不等式.
网址:http://m.1010jiajiao.com/timu_id_1667329
[举报]
已知关于x的不等式:
.
(1)当a=1时,解该不等式;
(2)当a>0时,解该不等式.
查看习题详情和答案>>
已知关于x的不等式:
.
(1)当a=1时,解该不等式;
(2)当a>0时,解该不等式.
查看习题详情和答案>>
已知关于x的不等式:
.
(1)当a=1时,解该不等式;
(2)当a>0时,解该不等式.
查看习题详情和答案>>
已知关于x的不等式:
.
(1)当a=1时,求该不等式的解集;
(2)当a>0时,求该不等式的解集.
查看习题详情和答案>>
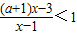
已知关于x的不等式:
(a+1)x-3
x-1
<1
.
(1)当a=1时,解该不等式;
(2)当a>0时,解该不等式.
查看习题详情和答案>>
关 闭
试题分类
高中
数学
英语
物理
化学
生物
地理
初中
数学
英语
物理
化学
生物
地理
小学
数学
英语
其他
阅读理解答案
已回答习题
未回答习题
题目汇总
试卷汇总
练习册解析答案