搜索
摘要:5.已知P为抛物线上的动点.点P的纵坐标是4.则点P到准线的距离是( ) A. B. C. D.5
网址:http://m.1010jiajiao.com/timu_id_1654894
[举报]
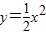
已知P为抛物线
上的动点,点P的纵坐标是4,则点P到准线的距离是
A.
B.
C.
D.5
查看习题详情和答案>>
已知P为抛物线
上的动点,点P在x轴上的射影为M,点A的坐标是
,则|PA|+|PM|的最小值是( )
A.8
B.
C.10
D.
查看习题详情和答案>>
已知P为抛物线
上的动点,点P在x轴上的射影为M,点A的坐标是
,则|PA|+|PM|的最小值是( )
A.8
B.
C.10
D.
查看习题详情和答案>>
已知P为抛物线
上的动点,点P在x轴上的射影为M,点A的坐标是
,则|PA|+|PM|的最小值是( )
A.8
B.
C.10
D.
查看习题详情和答案>>
已知P为抛物线
上的动点,点P在x轴上的射影为M,点A的坐标是
,则|PA|+|PM|的最小值是( )
A.8
B.
C.10
D.
查看习题详情和答案>>
关 闭
试题分类
高中
数学
英语
物理
化学
生物
地理
初中
数学
英语
物理
化学
生物
地理
小学
数学
英语
其他
阅读理解答案
已回答习题
未回答习题
题目汇总
试卷汇总
练习册解析答案