如图所示,两个半径相同的半圆形光滑轨道置于竖直平面内,左右两端等高,分别处于沿水平方向的匀强磁场和匀强电场中.两个相同的带正电小球同时从两轨道左端最高点由静止释放.M、N为轨道最低点,则下列说法中正确的是
A.两个小球到达轨道最低点的速度vM>vN
B.两个小球第一次经过轨道最低点时对轨道的压力FM>FN
C.小球第一次到达M点的时间大于小球第一次到达N点的时间
D.磁场中小球能到达轨道另一端最高处,在电场中小球不能到达轨道另一端最高处
均匀直角金属杆aob可绕水平光滑轴o在竖直平面内转动,oa<ob.现加一水平方向的匀强磁场B并通以电流I,若撤去外力后恰能使直角金属杆ob部分保持水平,如图所示.则
A.电流I一定从a点流入才能使杆保持平衡
B.电流I从b点流入也可能使杆保持平衡
C.直角金属杆受到的弹力一定竖直向上
D.直角金属杆受到安培力与重力的合力为零
如图,环形导线和直导线AB相互绝缘,且直导线又紧靠环的直径,若直导线被固定不动,则两者通以图示方向(直线电流向右,环形电流顺时针)的电流后,环形导线的运动情况是
A.静止不动
B.以直导线为轴转动
C.向上运动
D.向下运动
在如图所示的电路中,电源两端的电压恒定,L为小灯泡,R为光敏电阻,D为发光二极管(电流越大,发出光越强),且R与D相距不变,下列说法正确的是
A.当滑动触头P向左移动时,L消耗的功率增大
B.当滑动触头P向左移动时,L消耗的功率减小
C.当滑动触头P向右移动时,L消耗的功率可能不变
D.无论怎样移动触头P,L消耗的功率都不变
投影仪的光源是强光灯泡,发光时必须用风扇给予降温,现设计投影仪的简易电路,要求:带动风扇的电动机启动后,灯泡才可以发光,电动机没有启动,灯泡不亮,电动机的电路元件符号是M,如下图中符合设计要求的是
A.
B.
C.
D.
在研究微型电动机的性能时,应用如图所示的实验电路,当调节滑动变阻器R控制电动机停止转动时,电流表和电压表的示数分别为0.50 A和2.0 V,重新调节R并使电动机恢复正常运转,此时电流表和电压表的示数分别为2.0 A和24.0 V,则这台电动机正常运转时的输出功率为
A.32 W
B.44 W
C.47 W
D.48 W
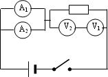
四个相同的电流表分别改装成两个安培表和两个电压表,安培表A1的量程大于A2的量程,电压表V1的量程大于V2的量程,把它们按下图接触电路中
A.A1的读数比A2的读数大
B.A1指针偏转角度比A2指针偏转角度大
C.V1读数比V2读数大
D.V1指针偏转角度比V2指针偏转角度大
如图甲所示的电路,不计电表的内阻影响,改变滑线变阻器的滑片的位置,测得电压表V1和V2随电流表A的示数变化的试验图像,如图乙所示,关于这两条实验图像,有
A.图线b的延长线不一定过坐标原点O
B.图线a的延长线与纵轴交点的纵坐标值等于电源的电动势
C.图线a、b焦点的横坐标和纵坐标的乘积等于电源的输出功率
D.图线a、b焦点的横坐标和纵坐标的乘积等于R0上消耗的功率
如图所示,电源电动势为4 V,当接通K时,灯L1和L2均不亮,用电压表测量得Uab=0,Ubc=0,Ucd=Uad=4 V,由此可以知道断路处是
A.灯L1
B.灯L2
C.灯L1和L2
D.变阻器R
如图所示,初速度为零的电子经电压U1加速后,垂直进入偏转电场,离开电场时偏移量为y,偏转板间的距离为d,偏转电压为U2,板长为L,为了提高偏转灵敏度(每单位偏转电压引起的偏移量)可采取的措施有
A.增大偏转电压U2
B.使U1变大些,U2变小些
C.尽可能使L小些
D.尽可能使d小些