在“利用单摆测重力加速度”的实验中,测得单摆的摆角小于5°,完成n次全振动的时间为t,用毫米刻度尺测得的摆线长为L,用螺旋测微器测得摆球的直径为d.
(1)
用上述物理量的符号写出求重力加速度的一般表达形式g=________.
A.
悬点未固定紧,振动中出现松动,使摆线增长了
B.
单摆所用的摆球质量太大
C.
把n次全振动的时间误作为(n+1)次全振动的时间
D.
以摆线长作为摆长来计算
(2)
实验中有个同学发现他测得的重力加速度的值总是偏大,其原因可能是下述原因中的
如图所示,质量为m的小球用水平轻弹簧系住,并用倾角为30°的光滑木板AB托住,小球恰好处于静止状态.当木板AB突然向下撤离的瞬间,小球的加速度大小为
A.0
C.g
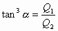
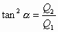
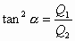
如图所示,电荷量为Q1、Q2的两个正点电荷分别置于A点和B点,两点相距L.在以L为直径的光滑绝缘半圆环上,穿着一个带电小球(视为点电荷),在P点平衡,若不计小球的重力,那么,PA与AB的夹角α与Q1、Q2的关系应满足
如图所示,、b两个带电小球用绝缘细线悬挂,质量分别为ma和mb,两球静止时,它们距水平地面的高度均为h(h足够大),绳与竖直方向的夹角分别为α和β(α<β).若剪断细线OC,设空气阻力不计,两球电量不变,重力加速度取为g,则
A.a先落地,b球后落地
B.落地时,a、b水平速度相等,且向右
C.整个运动过程中,a、b系统的电势能增加
D.落地时,a、b两球的动能和为(ma+mb)gh
汽车以恒定功率P、初速度v0冲上倾角一定的斜坡时,汽车受到的阻力恒定不变,则汽车上坡过程的v-t图不可能是下图中的
如图所示,质量为m的物体A与倾角为θ的斜面间的动摩擦因数为μ,恒力F拉着物体A从斜面底端匀速地运动到顶端,要使F做功最小,则F与斜面间的夹角α应是
θ
如图所示,一个下面装有轮子的贮气瓶停放在光滑的水平地面上,顶端与坚直墙壁接触.今打开尾端阀门,气体往外喷出,设喷口面积为S,气体密度为r ,喷出时的速度为n ,则钢瓶顶端对竖直墙的作用力大小是
A.r n S
C.r n 2S
如图是给墙壁粉刷涂料用的“涂料滚”的示意图.使用时,用撑竿推着粘有涂料的涂料滚沿墙壁上下缓缓滚动,把涂料均匀地粉刷到墙上.撑竿的重量和墙壁的摩擦均不计,而且撑竿足够长,粉刷工人站在离墙壁一定距离处缓缓上推涂料滚,该过程中撑竿对涂料滚的推力为F1,涂料滚对墙壁的压力为F2,以下说法正确的是
F1增大,F2减小
F1减小,F2增大
F1、、F2均增大
F1、、F2均减小
如图所示,在同一竖直面内,小球a、b从高度不同的两点,分别以初速度va和vb沿水平方向抛出,经过时间ta和tb后落到与两抛出点水平距离相等的P点.若不计空气阻力,下列关系式正确的是
ta>tb,va<vb
ta>tb,va>vb
ta<tb,va<vb
ta<tb,va>vb
如图所示,质量为m的物体在水平外力F的作用下,沿水平面做匀速运动,速度大小为v,当物体运动到A点时撤去外力,物体由A点继续向前滑行过程中经过B点,则物体由A点运动到B点的过程中,下列说法中正确的是
A.速度v越大,摩擦力对物体的冲量越小,摩擦力做功与速度v的大小无关.
B.速度v越大,摩擦力对物体的冲量越大,摩擦力做功与速度v的大小无关.
C.速度v越大,摩擦力对物体的冲量越小,摩擦力做功越小.
D.速度v越大,摩擦力对物体的冲量越小,摩擦力做功越多.