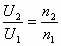
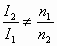
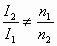
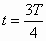
0  90028  90036  90042  90046  90052  90054  90058  90064  90066  90072  90078  90082  90084  90088  90094  90096  90102  90106  90108  90112  90114  90118  90120  90122  90123  90124  90126  90127  90128  90130  90132  90136  90138  90142  90144  90148  90154  90156  90162  90166  90168  90172  90178  90184  90186  90192  90196  90198  90204  90208  90214  90222  176998 

违法和不良信息举报电话:027-86699610 举报邮箱:58377363@163.com

精英家教网