关于公式v=λf,正确的说法是( )
A.v=λf适用于一切波
B.由v=λf知,f增大,则波速ν也增大
C.在v、λ、f三个量中,对同一列波来说,在不同介质中传播时保持不变的只有f
D.由v=λf知,波长是2m的声波比波长是4m的声波传播速度小2倍
一列简谐横波沿绳子向右传播,某时刻绳子形成如图的形状,对此时刻绳上A、B、C、D、E、F六个质点( )
A.它们的振幅相同
B.质点D和F的速度方向相同
C.质点C和E的加速度方向相同
D.从此时算起,质点B比E先回到平衡位置图
如图所示是一列向右传播的横波在t=0时刻的波形图,已知此波的波速为2.4m/s,则此波传播的过程中,坐标为(0.9,0)的质点到t=1s时,所通过的路程为( )
A.2.56m
B.2.4m
C.0.16m
D.0.02m
如图所示,S点为振源,f=100Hz,所产生的横波向右传播,波速为80m/s,P、Q是波传播途径中的两点,并已振动。已知SP=4.2m,SQ=5.4m,当S通过平衡位置向上的运动时( )
A.P在波谷,Q在波峰
B.P在波峰,Q在波谷
C.P、Q都在波峰
D.P 通过平衡位置向上运动,Q通过平衡位置向下运动
如图所示为演示波的衍射的装置,S为在水面上振动的波源,M、N是水面上的两块挡板,其中N板可以移动,两板中有一狭缝,此时测得图中A处水没有振动,为了使A处的水也能发生振动,下列措施可行的是( )
A.使波源的振动频率增大 B.使波源的振动频率减小
C.移动N板使狭缝的间距增大 D.移动N板使狭缝的间距减小
如图所示为一交流电的电流随时间而变化的图象。此交流电的有效值是 ( )
A.5A B.5 A
C. A D. A
如图所示,电路中的变压器为理想变压器,S为单刀双掷开关,P是滑动变阻器R的滑动触头,U1为加在原线圈两端的交变电压,I1、I2分别为原线圈和副线圈中的电流。下列说法正确的是( )
A.保持P的位置及U1不变,S由b切换到a,则R上消耗的功率减小
B.保持P的位置及U1不变,S由a切换到b,则I2减小
C.保持P的位置及U1不变,S由b切换到a则I1增大
D.保持U1不变,S接在b端,将P向上滑动,则I1减小
下列说法中正确的是( )
A.变化的电场周围空间产生的磁场一定是变化的
B.变化的磁场周围空间产生的电场一定是变化的
C.均匀变化的磁场周围空间产生恒定的电场
D.振荡电场周围空间产生的磁场也是振荡的
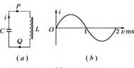
在图(a)所示的LC振荡电路中,通过P点的电流随时间变化的图线如图(b)所示,若把通过P点向右的电流规定为i的正方向。则( )
A.0至0.5ms内,电容器C正在充电
B.0.5ms至1ms内,电容器上极板带正电荷
C.1ms至1.5ms内,Q点比P点电势高
D.1.5ms至2ms内磁场能在减少
如图所示,两列简谐横波在同一绳上传播时某时刻的波形图,已知甲波向左传,乙波向右传。下列说法正确的是( )
A.甲波的速度比乙波的速度大
B.两列波的速度一样大
C.两列波相遇时不会发生干涉现象
D.两列波相遇时绳上的质点始终为振动加强点