(9分)某同学用图甲所示的电路探究电学元件的U-I关系,得到的数据描在图乙所示的坐标纸上.
(1)观察图乙所描数据点的分布情况,画出电学元件的U-I曲线;
(2)当电压表示数U=2.OV时,元件的电功率值为 W(保留2位有效数字),此值与元件的实际功率值相比 (填“偏大”、“偏小”或“相等”);
(3)如果把这个电学元件直接接在一个电动势为1.5V、内阻为2.O的电池两端,则电学元件两端的电压是 V.
(10分)质量M=9kg、长L=1m的木板在动摩擦因数=0.1的水平地面上向右滑行,当速度时,在木板的右端轻放一质量m=1kg的小物块如图所示.当小物块刚好滑到木板左端时,物块和木板达到共同速度.取g=10m/s2
求:
(1)从木块放到木板上到它们达到相同速度所用的时间t;
(2)小物块与木板间的动摩擦因数.
(10分)如图所示,在xOy坐标系中,x轴上N点到O点的距离是12cm,虚线NP与x轴负向的夹角是30°.第Ⅰ象限内NP的上方有匀强磁场,磁感应强度B=1T,第IV象限有匀强电场,方向沿y轴正向.一质量m=8×10-10kg.电荷量q=1×10-4C带正电粒子,从电场中M(12,-8)点由静止释放,经电场加速后从N点进入磁场,又从y轴上P点穿出磁场.不计粒子重力,取=3
(1)粒子在磁场中运动的速度v;
(2)粒子在磁场中运动的时间t;
(3)匀强电场的电场强度E.
(12分)如图所示,半径为R的光滑半圆轨道ABC与倾角为=37°的粗糙斜面轨道DC相切于C,圆轨道的直径AC与斜面垂直.质量为m的小球从A点左上方距A高为h的斜面上方P点以某一速度水平抛出,刚好与半圆轨道的A点相切进入半圆轨道内侧,之后经半圆轨道沿斜面刚好滑到与抛出点等高的D处.已知当地的重力加速度为g,取,,,不计空气阻力.
(1)小球被抛出时的速度v0;
(2)小球到达半圆轨道最低点B时,对轨道的压力大小;
(3)小球从C到D过程中摩擦力做的功W.
下列说法中正确的是
A.温度越高,每个分子的速率一定越大
B.雨水没有透过布雨伞是因为液体表面存在张力
C.布朗运动是指在显微镜下观察到的液体分子的无规则运动
D.单晶体的某些物理性质是各向异性的,多晶体的物理性质是各向同性的
如图所示,导热材料制成的截面积相等,长度均为45cm的气缸A、B通过带有阀门的管道连接.初始时阀门关闭,厚度不计的光滑活塞C位于B内左侧,在A内充满压强的理想气体,B内充满压强的理想气体,忽略连接气缸的管道体积,室温不变.现打开阀门。
①平衡后活塞向右移动的距离和B中气体的压强;
②自打开阀门到平衡,B内气体是吸热还是放热(简要说明理由).
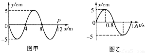
一列简谐波在t=0.8s时的图象如图甲所示,其x=0处质点的振动图象如图乙所示,由图象可知:简谐波沿x轴 方向传播(填“正”或“负”),波速为
m/s,t=10.0s时刻,x=4m处质点的位移是 m.
水面下一单色光源发出的一条光线射到水面的入射角为30°,从水面上射出时的折射角是45°,求:①水的折射率;②光在水面上发生全反射的临界角.
核动力航母利用可控核裂变释放核能获得动力.核反应是若干核反应的一种,其中X为待求粒子, y为X的个数,则X是 (选填“质子”、“中子”、“电子”), y= .若反应过程中释放的核能为E,光在真空中的传播速度为c,则核反应的质量亏损表达式为 .
在如图所示的光滑水平面上,小明站在静止的小车上用力向右推静止的木箱,木箱最终以速度v向右匀速运动.已知木箱的质量为m,人与车的质量为2m,木箱运动一段时间后与竖直墙壁发生弹性碰撞,反弹回来后被小明接住.
①推出木箱后小明和小车一起运动的速度v1的大小;
②小明接住木箱后三者一起运动的速度v2的大小.