(1)一游标卡尺的主尺最小分度为1mm,游标上有10个小等分间隔,现用此卡尺来测量工件的直径,游标部分放大图如图所示.该工件的直径为    mm.
(2)要测一个待测电阻Rx(190?~210?)的阻值,实验室提供了如下器材:
电源E:电动势3.0V,内阻不计;
电流表A1:量程0~10mA,内阻r1约50?;
电流表A2:量程0~500μA,内阻r2为1000?;
滑动变阻器R1:最大阻值20?,额定电流2A;
定值电阻R2=5000?;
定值电阻R3=500?;
电键S及导线若干.
要求实验中尽可能准确测量Rx的阻值,请回答下面问题:
①为了测定待测电阻上的电压,可以将电流表    (选填“A1”或“A2”)串联定值电阻    (选填“R2”或“R3”),将其改装成一个量程为3.0V的电压表.
②如图(a)所示,同学们设计了测量电阻Rx的甲、乙两种电路方案,其中用到了改装后的电压表和另一个电流表,则应选电路图    (选填“甲”或“乙”).
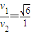
③若所选测量电路中电流表A的读数为I=6.2mA,改装后的电压表V读数如图(b)所示,则电压表V读数是    V.根据电流表和电压表的读数,并考虑电压表内阻,求出待测电阻Rx=    ?.
(3)一打点计时器固定在斜面上某处,一小车拖着穿过打点计时器的纸带从斜面上滑下,如图(a)所示.用刻度尺测量斜面的高度与长度之比为1:4,小车质量为400g,图(b)是打出纸带的一段,相邻计数点间还有四个点未画出,已知打点计时器使用的交流电频率为50Hz.由图(b)可知,打纸带上B点时小车的瞬时速度vB=    m/s,打纸带上B点到E点过程中小车重力势能的减少量为    J,此过程中小车克服阻力所做的功为    J.(g取10m/s2,保留两位有效数字)
 0  71278  71286  71292  71296  71302  71304  71308  71314  71316  71322  71328  71332  71334  71338  71344  71346  71352  71356  71358  71362  71364  71368  71370  71372  71373  71374  71376  71377  71378  71380  71382  71386  71388  71392  71394  71398  71404  71406  71412  71416  71418  71422  71428  71434  71436  71442  71446  71448  71454  71458  71464  71472  176998 

违法和不良信息举报电话:027-86699610 举报邮箱:58377363@163.com

精英家教网