在“用单摆测定重力加速度”的实验中:
(1)某同学分别选用四种材料不同、直径相同的实心球做实验,各组实验的测量数据如下.
若要计算当地的重力加速度值,应选用第 组实验数据.
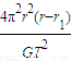
(2)甲同学选择了合理的实验装置后,测量出几组不同摆长L和周期T的数值,画出如图T2-L图象中的实线OM,并算出图线的斜率为k,则当地的重力加速度g= (用符号表示).
(3)乙同学也进行了与甲同学同样的实验,但实验后他发现测量摆长时忘了加上摆球的半径,则该同学做出的T2-L图象为
A.虚线①,不平行实线OM B.虚线②,平行实线OM
C.虚线③,平行实线OM D.虚线④,不平行实线OM.
0 71131 71139 71145 71149 71155 71157 71161 71167 71169 71175 71181 71185 71187 71191 71197 71199 71205 71209 71211 71215 71217 71221 71223 71225 71226 71227 71229 71230 71231 71233 71235 71239 71241 71245 71247 71251 71257 71259 71265 71269 71271 71275 71281 71287 71289 71295 71299 71301 71307 71311 71317 71325 176998
(1)某同学分别选用四种材料不同、直径相同的实心球做实验,各组实验的测量数据如下.
| 组别 | 摆球材料 | 摆长L/m | 最大摆角 | 全振动次数 N/次 |
| 1 | 铜 | 0.40 | 15° | 20 |
| 2 | 铁 | 1.00 | 5° | 50 |
| 3 | 铝 | 0.40 | 15° | 10 |
| 4 | 木 | 1.00 | 5° | 50 |
(2)甲同学选择了合理的实验装置后,测量出几组不同摆长L和周期T的数值,画出如图T2-L图象中的实线OM,并算出图线的斜率为k,则当地的重力加速度g= (用符号表示).
(3)乙同学也进行了与甲同学同样的实验,但实验后他发现测量摆长时忘了加上摆球的半径,则该同学做出的T2-L图象为
A.虚线①,不平行实线OM B.虚线②,平行实线OM
C.虚线③,平行实线OM D.虚线④,不平行实线OM.