(1)现要测定一个额定电压6V、额定功率3W的小灯泡的伏安特性曲线.要求所测电压范围为0V~5.5V.
现有器材:
直流电源E(电动势6V,内阻不计);
电压表(量程6V,内阻约为4×104Ω);
电流表(量程300mA,内阻约为2Ω);
电流表(量程600mA,内阻约为1Ω);
滑动变阻器R(最大阻值约为30Ω);
电子键S,导线若干.
①如果既要满足测量要求,又要测量误差较小,应该选用的电流表是______.
②如图1已经完成部分导线的连接,请你在实物接线图中完成余下导线的连接.
(2)某同学用如图2所示的实验装置验证机械能守恒定律.实验所用的电源为学生电源,输出电压为6V的频率为50Hz交流电和直流电两种.重锤从高处由静止开始下落,重锤上拖着的纸带打出一系列的点,对纸带上的点迹进行测量,即可验证机械能守恒定律.
①他进行了下面几个操作步骤:
A.按照图示的装置安装器件;
B.将打点计时器接到电源的“直流输出”上;
C.用天平测出重锤的质量;
D.先接通电源,后释放纸带,打出一条纸带;
E.测量纸带上某些点间的距离;
F.根据测量的结果计算重锤下落过程中减少的重力势能是否等于增加的动能.
其中没有必要进行的步骤是______,操作不当的步骤是______.
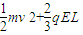
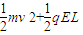
②他进行正确测量后挑选出一条点迹清晰的纸带进行测量分析.如图3所示.其中O点为起始点,A、B、C、D、E、F为六个计数点.根据以上数据,当打点到B点时重锤的速度______m/s,计算出该对应的=______ m2/s2,gh=______ m2/s2,可认为在误差范围内存在关系式______,即可验证机械能守恒定律.(g=9.8m/s2
③他继续根据纸带算出各点的速度v,量出下落距离h,并以为纵轴、以h为横轴画出的图象,应是图4中的______.
④他进一步分析,发现本实验存在较大误差.为此设计出用如图5示的实验装置来验证机械能守恒定律.通过电磁铁控制的小铁球从A点自由下落,下落过程中经过光电门B时,通过与之相连的毫秒计时器(图中未画出)记录挡光时间t,用毫米刻度尺测出AB之间的距离h,用游标卡尺测得小铁球的直径d.重力加速度为g.实验前应调整光电门位置使小球下落过程中球心通过光电门中的激光束.小铁球通过光电门时的瞬时速度v=______.如果d、t、h、g存在关系式______,也可验证机械能守恒定律.
⑤比较两个方案,改进后的方案相比原方案的最主要的优点是:______.

 0  69995  70003  70009  70013  70019  70021  70025  70031  70033  70039  70045  70049  70051  70055  70061  70063  70069  70073  70075  70079  70081  70085  70087  70089  70090  70091  70093  70094  70095  70097  70099  70103  70105  70109  70111  70115  70121  70123  70129  70133  70135  70139  70145  70151  70153  70159  70163  70165  70171  70175  70181  70189  176998 

违法和不良信息举报电话:027-86699610 举报邮箱:58377363@163.com

精英家教网