一个小球沿斜面向下运动,用每间隔1/10s曝光一次的频闪相机拍摄不同时刻小球位置的照片,如图所示,即照片上出现的相邻两个小球的像之间的时间间隔为1/10s,测得小球在几个连续相等时间内位移数据见下表,
①小球在相邻的相等时间内的位移差 (填相等或不相等),小球的运动性质属 直线运动.
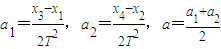
②有甲、乙两同学计算小球加速度方法如下:
甲同学:
乙同学:
你认为甲、乙中哪位同学的计算方法更准确的是 ,加速度值为 m/s2.(保留三位有效数字)
0 69190 69198 69204 69208 69214 69216 69220 69226 69228 69234 69240 69244 69246 69250 69256 69258 69264 69268 69270 69274 69276 69280 69282 69284 69285 69286 69288 69289 69290 69292 69294 69298 69300 69304 69306 69310 69316 69318 69324 69328 69330 69334 69340 69346 69348 69354 69358 69360 69366 69370 69376 69384 176998
| x1(cm) | x2(cm) | x3(cm) | x4(cm) |
| 8.20 | 9.30 | 10.40 | 11.50 |
②有甲、乙两同学计算小球加速度方法如下:
甲同学:
乙同学:
你认为甲、乙中哪位同学的计算方法更准确的是 ,加速度值为 m/s2.(保留三位有效数字)