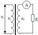
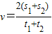
0  67873  67881  67887  67891  67897  67899  67903  67909  67911  67917  67923  67927  67929  67933  67939  67941  67947  67951  67953  67957  67959  67963  67965  67967  67968  67969  67971  67972  67973  67975  67977  67981  67983  67987  67989  67993  67999  68001  68007  68011  68013  68017  68023  68029  68031  68037  68041  68043  68049  68053  68059  68067  176998 

违法和不良信息举报电话:027-86699610 举报邮箱:58377363@163.com

精英家教网