一个小球沿斜面向下运动,用每间隔1/10s曝光一次的频闪相机拍摄不同时刻小球位置的照片,如图所示,即照片上出现的相邻两个小球的像之间的时间间隔为1/10s,测得小球在几个连续相等时间内位移数据见下表,
①小球在相邻的相等时间内的位移差 (填相等或不相等),小球的运动性质属 直线运动.
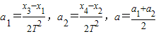
②有甲、乙两同学计算小球加速度方法如下:
甲同学:
乙同学:
你认为甲、乙中哪位同学的计算方法更准确的是 ,加速度值为 m/s2.(保留三位有效数字)
0 66280 66288 66294 66298 66304 66306 66310 66316 66318 66324 66330 66334 66336 66340 66346 66348 66354 66358 66360 66364 66366 66370 66372 66374 66375 66376 66378 66379 66380 66382 66384 66388 66390 66394 66396 66400 66406 66408 66414 66418 66420 66424 66430 66436 66438 66444 66448 66450 66456 66460 66466 66474 176998
| x1(cm) | x2(cm) | x3(cm) | x4(cm) |
| 8.20 | 9.30 | 10.40 | 11.50 |
②有甲、乙两同学计算小球加速度方法如下:
甲同学:
乙同学:
你认为甲、乙中哪位同学的计算方法更准确的是 ,加速度值为 m/s2.(保留三位有效数字)