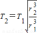
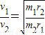
0  64160  64168  64174  64178  64184  64186  64190  64196  64198  64204  64210  64214  64216  64220  64226  64228  64234  64238  64240  64244  64246  64250  64252  64254  64255  64256  64258  64259  64260  64262  64264  64268  64270  64274  64276  64280  64286  64288  64294  64298  64300  64304  64310  64316  64318  64324  64328  64330  64336  64340  64346  64354  176998 

违法和不良信息举报电话:027-86699610 举报邮箱:58377363@163.com

精英家教网