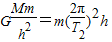
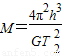
在绕地球做圆周运动的飞船里的物体处于完全失重状态,在这种环境中无法用天平测量物体的质量,但利用弹簧振子却可以来测量物体的质量.某同学猜想弹簧振子的周期T与振子质量m存在某种关系,且其关系可能是:①
;②
;③
.于是该同学利用身边一些相同的螺帽和弹簧组成如图所示的弹簧振子,测出相应的周期,记录的有关数据如下表:
(1)分析表格数据可知该同学猜想的三种关系中哪种成立?答:______(填序号)
(2)该同学换用一根劲度系数不同的弹簧,测得已知质量为1kg的物体做振子时,周期为0.63s;若换用另一物体做振子时,周期为1.26s,则该物体质量为______.
| 螺帽的数量(个) | 1 | 2 | 3 | 4 | 5 |
| 30次全振动的时间(s) | 13.40 | 19.20 | 23.21 | 26.83 | 30.01 |
| 振动周期T(s) | 0.45 | 0.64 | 0.77 | 0.89 | 1.00 |
| T2(s2) | 0.20 | 0.41 | 0.59 | 0.80 | 1.00 |
| 0.67 | 0.80 | 0.88 | 0.95 | 1.00 |
(2)该同学换用一根劲度系数不同的弹簧,测得已知质量为1kg的物体做振子时,周期为0.63s;若换用另一物体做振子时,周期为1.26s,则该物体质量为______.
一辆电动自行车的铭牌上给出的技术参数如下表.质量M=70kg的人骑着此电动自行车沿平直公路行驶,所受阻力f恒为车和人总重的k倍,k=0.02.取g=l0m/s2.
求:(1)此电动自行车的电动机在额定电压下正常工作时的效率;
(2)仅在电动机以额定功率提供动力的情况下,人骑车行驶的最大速率;
(3)仅在电动机以额定功率提供动力的情况下,当车速v=2.0m/s时,人骑车的加速度大小.
0 61624 61632 61638 61642 61648 61650 61654 61660 61662 61668 61674 61678 61680 61684 61690 61692 61698 61702 61704 61708 61710 61714 61716 61718 61719 61720 61722 61723 61724 61726 61728 61732 61734 61738 61740 61744 61750 61752 61758 61762 61764 61768 61774 61780 61782 61788 61792 61794 61800 61804 61810 61818 176998
| 格 | 后轮驱动直流永磁铁电动机 | ||
| 车型 | 26”电动自行车 | 额定输出功率 | 120W |
| 整车质量 | 30kg | 额定电压 | 40V |
| 最大载重 | 120kg | 额定电流 | 3.5A |
(2)仅在电动机以额定功率提供动力的情况下,人骑车行驶的最大速率;
(3)仅在电动机以额定功率提供动力的情况下,当车速v=2.0m/s时,人骑车的加速度大小.