如图所示,空间存在足够大的竖直向下的匀强电场,带正电荷的小球(可视为质点且所受电场力与重力相等)自空间0点以水平初速度v0抛出,落在地面上的A点,其轨迹为一抛物线。现仿此抛物线制作一个光滑绝缘滑道并固定在与OA完全重合的位置上,将此小球从0点由静止释放,并沿此滑道滑下,在下滑过程中小球未脱离滑道。P为滑道上一点,已知小球沿滑道滑至P点时其速度与水平方向的夹角为45°,下列说法正确的是 ![]()
| A.小球两次由O点运动到P点的时间相等 |
| B.小球经过P点时,水平位移与竖直位移之比为1:2 |
| C.小球经过滑道上P点时,电势能变化了 |
| D.小球经过滑道上P点时,重力的瞬时功率为 |
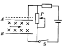
如图所示,水平放置的平行板电容器两板间有匀强磁场,开关S闭合时一带电粒子恰好水平向右匀速穿过两板,重力不计,下列说法正确的是 ![]()
| A.保持开关闭合,若滑片P向上滑动,粒子可能从下极板边缘射出 |
| B.保持开关闭合,若滑片P向下滑动,粒子可能从下极板边缘射出 |
| C.保持开关闭合,若A极板向上移动后,粒子仍能沿直线穿出 |
| D.如果开关断开,粒子继续沿直线穿出 |
质量为m的带电小球在正交的匀强电场、匀强磁场中做匀速圆周运动,轨道平面在竖直平面内,电场方向竖直向下,磁场方向垂直圆周所在平面向里,如图所示,由此可知( )![]()
| A.小球带正电 |
| B.小球带负电, |
| C.沿逆时针方向运动 |
| D.沿顺时针方向运动 |
如图,在重力、电场力和洛伦兹力作用下,一带电液滴做直线运动,下列关于带电液滴的性质和运动的说法中不正确的是![]()
| A.液滴可能带负电 |
| B.液滴一定做匀速直线运动 |
| C.不论液滴带正电或负电,运动轨迹为同一条直线 |
| D.液滴不可能在垂直电场的方向上运动 |
如图所示,两金属板间有水平方向的匀强磁场和竖直向下的匀强电场.一带正电的小球垂直于电场和磁场方向从O点以速度v0飞入此区域,恰好能沿直线从P点飞出此区域.如果只将电场方向改为竖直向上,则小球做匀速圆周运动,加速度大小为a1,经时间t1从板间的右端a点飞出,a与P间的距离为y1;如果同时撤去电场和磁场,小球加速度大小为a2,经时间t2从板间的右端b点以速度v飞出,b与P间的距离为y2.a、b两点在图中未标出,则![]()
| A.v0< v | B.a1<a2 |
| C.y1>y2 | D.t1<t2 |
如图所示,在水平向左的匀强电场中,一根长为L且不可伸长的绝缘细线一端拴一个质量为m带负电的小球,另一端固定在O点。把小球拉到使细线水平的位置A,然后将小球由静止释放,小球沿弧线运动到细线与水平成θ=60°的位置B时速度为零。以下说法正确的是 ![]()
| A.小球重力与电场力的关系是mg= |
| B.小球重力与电场力的关系是Eq= |
| C.小球在B点时,细线拉力为T=2 |
| D.在A处给小球一个数值为3mgL的动能,就能使小球恰在竖直面内做一完整的圆周运动 |
如题21图所示,水平向左的匀强电场中,长为L的绝缘细线一端固定于O点,另一端系一质量为m、电荷量为q的可视为质点的带正电小球.将小球拉到使细线水平伸直的A点,无初速释放小球,小球沿圆弧到达最低位置B时速度恰好为零,重力加速度为g以下说法正确的是![]()
| A.匀强电场场强大小为E= |
| B.小球在B位置时加速度为零 |
| C.小球运动过程中的最大速率为v= |
| D.若将小球拉到使细线水平伸直的C点,无初速释放小球后,小球必能回到C点 |
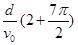
如图所示,在第Ⅱ象限内有水平向右的匀强电场,电场强度为E,在第Ⅰ、Ⅳ象限内分别存在如图所示的匀强磁场,磁感应强度大小相等.有一个带电粒子以垂直于x轴的初速度v0从x轴上的P点进入匀强电场中,并且恰好与y轴的正方向成45°角进入磁场,又恰好垂直进入第Ⅳ象限的磁场.已知OP之间的距离为d,则带电粒子从P点开始在到第二次在磁场中经过x轴时,在电场和磁场中运动的时间说法正确的有![]()
| A.在电场中运动时间为 |
| B.在磁场中运动时间为 |
| C.在磁场中运动时间为 |
| D.运动总时间为 |
在如图所示的直角坐标系xyz所在的区域内,存在电场强度为E的匀强电场和磁感强度为B的匀强磁场。已知从坐标原点O沿x轴的正方向射入质子,穿过这区域时未发生偏转。设重力可忽略不计,则这区域中的E和B的方向可能是:![]()
| A.E和B都沿x轴的正方向 | B.E和B都沿x轴的负方向 |
| C.E沿z轴正方向,B沿y轴正方向 | D.E沿z轴正方向,B沿y轴负方向 |
如图所示,在MN、PQ间同时存在匀强磁场和匀强电场,方向垂直纸面水平向外,电场在图中没有标出。一带电小球从a 点射入场区,并在竖直面内沿直线运动至b点,则小球![]()
| A.一定带正电 |
| B.受到电场力的方向一定水平向右 |
| C.从a到b过程,克服电场力做功 |
| D.从a到b过程中可能做匀加速运动 |