对于如图所示的电流i随时间t作周期性变化的图象,下列说法中正确的是:![]()
| A.电流大小变化,方向不变,是直流电 |
| B.电流大小、方向都变化,是交流电 |
| C.电流最大值为0.2A,周期为0.02s |
| D.电流大小变化,方向不变,不是直流电,是交流电 |
下列关于交流电的说法中正确的是:
| A.交流电器设备上所标的电压和电流值表示其峰值 |
| B.用交流电流表和电压表测量的数值表示其瞬时值 |
| C.白炽灯泡上标注的电压值表示其有效值 |
| D.在交流电的一个周期T内,跟交变电流有相同的热效应的直流电的数值叫做其平均值 |
如图甲所示是某种型号电热毯的电路图,电热毯接在卧室里的电源插座下,由于装置P的作用使加在电热丝a、b间的电压波形如图乙所示,图中曲线为正弦曲线的一部分,这时a、b间交变电压的有效值为 ( )![]()
| A.110V?? | B.156V |
| C.220V?? | D.311V |
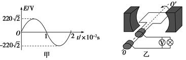
一台小型发电机产生的电动势随时间变化的正弦规律图象如图甲所示.已知发电机线圈内阻为5.0 Ω,现外接一只电阻为95.0 Ω的灯泡,如图乙所示,则
| A.电压表V的示数为220 V | B.电路中的电流方向每秒钟改变50次 |
| C.灯泡实际消耗的功率为484 W | D.发电机线圈内阻每秒钟产生的焦耳热为24.2 J |
交流发电机正常工作时产生的电动势为e=Emsin ωt,若将其线圈的匝数减为原来的一半,而转速增为原来的2倍,其他条件不变,则产生的电动势的表达式为
| A.e=Emsin ωt | B.e=Emsin 2ωt |
| C.e=2Emsin ωt | D.e=2Emsin 2ωt |
一交流电压的图象如图所示,将该交流电压加在一阻值为22 Ω的电阻两端,下列说法中正确的是( )![]()
| A.该电阻消耗的功率为550 W |
| B.该交流电压的瞬时值表达式为u=110 |
| C.并联在该电阻两端的交流电压表的示数为110 |
| D.流过电阻的电流方向每秒改变50次 |
如图(甲)所示,理想变压器原副线圈的匝数比为10:1,b是原线圈的中心抽头,电压表和电流表均为理想电表,除R以外其余电阻不计。从某时刻开始单刀双掷开关掷向a,在原线圈两端加上如图(乙)所示交变电压,则下列说法中正确的是:( )![]()
![]()
| A.该交变电压瞬时值表达式为 |
| B.滑动变阻器触片向上移,电压表示数不变,电流表的示数变大 |
| C. |
| D.单刀双掷开关由a扳到b,电压表和电流表的示数都变大 |
交流发电机正常工作时,电动势的变化规律为
.如果把发电机转子的转速减小一半,并且把电枢线圈的匝数增加一倍,其他条件不变,则:( )
| A.只是电动势的最大值增加一倍 |
| B.电动势的最大值和周期都增加一倍 |
| C.电动势的最大值和周期都减小一半 |
| D.只是频率减小一半,周期增加一倍 |