矩形线圈在匀强磁场中匀速转动产生的电动势如图示,则( )![]()
| A.t1时刻线圈通过中性面 |
| B.t2时刻线圈中磁通量最大 |
| C.t3时刻线圈中磁通量变化率最大 |
| D.t4时刻线圈中磁通量最大 |
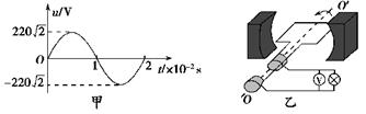
一台小型发电机产生的电动势随时间变化的正弦规律图象如图甲所示.已知发电机线圈内阻为5.0 Ω,现外接一只电阻为95.0 Ω的灯泡,如图乙所示,则 ![]()
| A.电压表的示数为220 V |
| B.电路中的电流方向每秒钟改变100次 |
| C.灯泡实际消耗的功率为484 W |
| D.发电机线圈内阻每秒钟产生的焦耳热为24.2 J |
一台旋转电枢式交流发电机,在正常工作时的电动势e=220√2sin100πt(V),由于超负荷使得电枢转速降低了1/10,这时的电动势是( )
| A.e=220√2sin100πt(V) | B.e=220√2sin90πt(V) |
| C.e=198√2sin100πt(V) | D.e=198√2sin90πt(V) |
正弦交变电动势的最小值出现在( )
| A.线圈经过中性面时 | B.穿过线圈的磁通量为零时 |
| C.穿过线圈的磁通量变化最快时 | D.线圈边框的速度与磁感线垂直时 |
线圈在匀强磁场中转动产生电动势e=10sin20πt V,则下列说法正确的是( )
| A.t=0时,线圈平面位于中性面 |
| B.t=0时,穿过线圈的磁通量最小 |
| C.t=0时,导线切割磁感线的有效速率最大 |
| D.t=0.4 s时,e有最大值10√2 V |
矩形线圈在匀强磁场中绕垂直于磁场方向的轴匀速转动,下列说法中不正确的是( )
| A.在中性面时,通过线圈的磁通量最大 |
| B.在中性面时,感应电动势为零 |
| C.穿过线圈的磁通量为零时,感应电动势也为零 |
| D.线圈每通过中性面一次,电流方向改变一次 |
交流发电机在工作时的电动势e=Emsinωt.若将线圈匝数、线圈面积都提高到原来的两倍,其他条件不变,则电动势变为( )
| A.e=2Emsinωt | B.e=4Emsinωt | C.e=12Emsinωt | D.e=14Emsinωt |
线圈在匀强磁场中转动产生的交变电流电动势
(V),则下列说法正确的是( )
| A.t=0时,线圈平面位于中性面 | B.t=0时,穿过线圈的磁通量最大 |
| C.t=0.1s时,交变电流将改变方向 | D.t=0.4s时,e有最大值 |
闭合矩形线圈在匀强磁场中匀速转动,产生正弦交流电,电动势表达式为
V,电流表达式为
. 若把线圈匝数增加一倍,转速也增加一倍,其它条件不变. 则交流电的电动势与电流表达式分别为:( )
| A. | B. |
| C. | D. |