矩形线圈在匀强磁场中绕垂直于磁感线的转轴匀速转动,产生的交流电动势的最大值为Em.设t=0时线圈平面与磁场平行,当线圈的匝数增加一倍,转速也增大一倍,其他条件不变时,交流电的电动势为( )
| A.e=2Emsin2ωt | B.e=4Emsin2ωt |
| C.e=Emcos2ωt | D.e=4Emcos2ωt |
如图所示,矩形线圈abcd在匀强磁场中可以分别绕垂直于磁场方向的轴P1和P2以相同的角速度匀速转动,当线圈平面转到与磁场方向平行时( )![]()
| A.线圈绕P1转动时的电流等于绕P2转动时的电流 |
| B.线圈绕P1转动时的电动势小于绕P2转动时的电动势 |
| C.线圈绕P1和P2转动时电流的方向相同,都是a→b→c→d |
| D.线圈绕P1转动时dc边受到的安培力大于绕P2转动时dc边受到的安培力 |
如图甲所示,A?B为相同的环形线圈,它们共轴且相距很近,A线圈中通有图乙所示的交变电流,则( )![]()
| A.在t1时刻,A?B的相互作用力为零 |
| B.在t1到t2时间内,A?B相互吸引 |
| C.在t2到t3时间内,A?B相互排斥 |
| D.在t2时刻,A?B的相互作用力最大 |
家用电子调光灯的调光原理是用电子线路将输入的正弦交流电压的波形截去一部分来实现的,由截去部分的多少来调节电压,从而实现灯光的可调,比过去用变压器调压方便且体积较小,某电子调光灯经调整后的电压波形如图所示,若用多用电表测灯泡两端的电压,多用电表示数为( )![]()
| A. | B. |
| C. | D. |
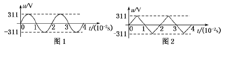
图1?图2分别表示两种电压的波形,其中图1所示的电压按正弦规律变化.下列说法正确的是( )![]()
| A.图1表示交流电,图2表示直流电 |
| B.两种电压的有效值相等 |
| C.图1所示电压的瞬时值表达式为u="311sin100πt" V |
| D.图1所示电压经匝数比为10:1的变压器变压后,频率变为原来的 |
小型交流发电机中,矩形金属线圈在匀强磁场中匀速转动,产生的感应电动势与时间呈正弦函数关系,如图所示,此线圈与一个R="10" Ω的电阻构成闭合电路,不计电路的其他电阻,下列说法正确的是( )![]()
| A.交变电流的周期为0.125 s |
| B.交变电流的频率为8 Hz |
| C.交变电流的有效值为 |
| D.交变电流的的最大值为4 A |