关于交流电的有效值U和最大值Um,下列说法中正确的是( )。
| A.任何形式的交流电都具有U=Um/ |
| B.正弦式交流电具有U=Um/ |
| C.照明电压220 V,动力电压380 V指的都是最大值 |
| D.交流电压表和交流电流表测的都是最大值 |
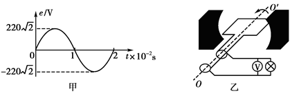
一台小型发电机产生的电动势随时间按正弦变化的规律如图甲所示.已知发电机线圈内阻为5.0 Ω,现外接一只电阻为95.0 Ω的灯泡,如图乙所示,则![]()
| A.电压表的示数为220 V |
| B.电路中的电流方向每秒钟改变50次 |
| C.在t=1x10-2 s的时刻,穿过线圈的磁通量最大 |
| D.发电机线圈内阻每秒钟产生的焦耳热为24.2 J |
如图8所示,是某种正弦式交变电压的波形图,由图象可确定该电压的( ) ![]()
| A.周期是0.01 s |
| B.最大值是311 V |
| C.有效值是220 V |
| D.表达式为u=220sin 100πt (V) |
两只相同的电阻,分别通以正弦形的交流电和方波形的交流电。两种交流电流的最大值相等,如图所示。在正弦形交流电的一个周期内,正弦形的交流电在电阻上产生的焦耳热Q1与方波形交流电在电阻上产生的焦耳热Q2之比Q1/Q2等于( )![]()
| A.3∶1 | B.1∶2 | C.2∶1 | D.4∶3 |
矩形线框在匀强磁场内绕垂直于磁场的轴匀速转动的过程中,线框输出的交流电电压随时间变化的图象如图所示,由图可知( )![]()
| A.当t=2s时,线圈平面与中性面垂直 |
| B.该交流电的频率为25Hz |
| C.该交流电的电压的有效值为100 |
| D.若将该交流电压加在阻值R=100Ω的电阻两端,则电阻消耗的功率为50W |
一正弦交流电的电压随时间变化的规律如图所示。则![]()
| A.该交流电的频率为25 Hz |
| B.该交流电的电压的有效值为 |
| C.该交流电的电压瞬时值的表达式为u="100" sin(25t)V |
| D.若将该交流电压加在阻值为R="100" Ω的电阻两端,则电阻消耗的功率是500W |
交流发电机在工作时电动势e=Emsinωt,若将发电机的转速提高一倍,同时将线圈所围面积减小一半,其他条件不变,则其电动势变为( )
| A.e′=Emsin | B.e′=2Emsin |
| C.e′=Emsin2ωt | D.e′= |