如图所示,有一矩形线圈,面积为S,匝数为N,整个线圈的电阻为r,在磁感应强度为B的匀强磁场中,线圈绕OO′轴以角速度ω匀速转动,外电阻为R。当线圈由图示位置转过900的过程中,下列说法中正确的是![]()
| A.磁通量的变化量为 | B.平均感应电动势为 |
| C.电阻R所产生的焦耳热为 | D.通过电阻R的电荷量为 |
线圈在匀强磁场中转动产生的交流电动势
,则下列说法正确的是( )
| A.t = 0时,线圈平面平行于磁感线 |
| B.t = 0时,穿过线圈的磁通量最大 |
| C.交流电的周期是0.1s |
| D.该交流电的有效值是10 |
一交变电流的电压表达式为u=100 sin120πt (V),由此表达式可知:
| A.用电压表测该电压其示数为100 V |
| B.该交变电压的频率为60Hz |
| C.将该电压加在100Ω的电阻两端,则该电阻消耗的电功率为100 W |
| D.t =1/480 (s)时,该交流电压的瞬时值为50 V |
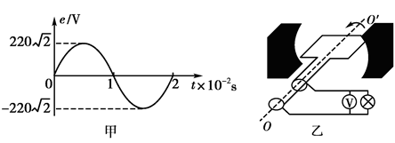
一台小型发电机产生的电动势随时间按正弦变化的规律如图甲所示。已知发电机线圈内阻为5.0 Ω,现外接一只电阻为95.0 Ω的灯泡,如图乙所示,则
| A.电压表的示数为220 V |
| B.电路中的电流方向每秒钟改变50次 |
| C.在t=10-2 s的时刻,穿过线圈的磁通量为零 |
| D.发电机线圈内阻每秒钟产生的焦耳热为24.2 J |
两只阻值相等的电阻分别通以正弦交流电与方形交流电,它们电流的最大值相等,如图所示,则两只电阻的热功率之比是![]()
| A.1:4 | B.1:2 | C.1: | D.1:1 |
如图所示,甲电路中R=100Ω,在ab之间加上如图乙所示的正弦交流电,下列说法正确的是( )![]()
| A.电流表的示数为3.1 A |
| B.该交流电压的最大值为310 V |
| C.产生该交流电的发电机转速提高一倍,电流表的示数不变 |
| D.将电阻换成200Ω,则电流表示数为原来的一半 |
一矩形线圈在匀强磁场中匀速转动,产生正弦交变流电的图象如图所示,下列说法正确的是( )![]()
| A.0.01s时刻线圈处于中性面位置 |
| B.0.01s时刻穿过线圈的磁通量为零 |
| C.该交流电流有效值为2A |
| D.该交流电流频率为50Hz |
矩形金属线圈共50匝,绕垂直于磁场方向的转轴在匀强磁场中匀速转动,穿过线圈的磁通量随时间变化的规律如图所示,下列说明正确的是![]()
| A.在t="0.1s" 和t="0.3s" 时,感应电动势最大 |
| B.在t="0.2s" 和t="0.4s" 时,感应电动势最大 |
| C.该矩形线圈的角速度为5 |
| D.在t="0.4s" 时,线圈平面与磁场方向平行 |
将R=200Ω的电阻接入下图所示的电流电路中,电源内阻不计,则可判断![]()
| A.此交流电的频率为50HZ |
| B.此交流电压的有效值为311V |
| C.若串联一理想电流表测该电路的电流,读数为1.1A |
| D.在一个周期内电阻R上产生的热量是4.84J |
如图所示,电路中三个完全相同的灯泡a、b和c分别与电阻R、电感L和电容C串联,当电路两端接入电压为u=220sin100πt V的交变电压,三个灯泡亮度恰好相同。若保持交变电压大小不变,将频率增大到60Hz,则将发生的现象是![]()
| A.三灯亮度不变 |
| B.a不变、b变亮、c变暗 |
| C.三灯均变亮 |
| D.a不变、b变暗、c变亮 |