如图所示,圆形线圈垂直放在匀强磁场里,第1秒内磁场方向指向纸里,如图(b).若磁感应强度大小随时间变化的关系如图(a),那么,下面关于线圈中感应电流的说法正确的是:
| A.在第1秒内感应电流增大,电流方向为逆时针 |
| B.在第2秒内感应电流大小不变,电流方向为顺时针 |
| C.在第3秒内感应电流减小,电流方向为顺时针 |
| D.在第4秒内感应电流大小不变,电流方向为顺时针 |
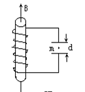
两块水平放置的金属板距离为d,用导线与一个n匝的线圈连接,线圈置于方向竖直向上均匀变化的磁场中(如图所示),两板间有一质量为m,电量为+q的油滴恰好处于平衡状态,则线圈中的磁场B的变化情况和磁通量变化率分别是 ![]()
| A.正在增强,Δφ/Δt=mg·d/q |
| B.正在减弱,Δφ/Δt=mg·d/q |
| C.正在增强,Δφ/Δt=mg·d/nq |
| D.正在减弱,Δφ/Δt=mg·d/nq |
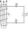
如图所示的LC振荡电路中,某时刻线圈中磁场方向向上,且电路的电流正在减小,则此时( )![]()
| A.a点电势比b点高 | B.电容器两极板间场强正在减小 |
| C.电路中电场能正在增大 | D.线圈中感应电动势正在减小 |
如图所示,n=10匝的矩形闭合线圈ABCD在匀强磁场中绕垂直于磁场方向OO'轴匀速转动。转轴OO'过AC边和BD边的中点。若从图示位置开始计时,穿过线圈的磁通量Φ随时间t的变化关系可以表示为Φ=0.1cos(10πt)(Wb),时间t的单位为s。已知矩形线圈的电阻为10Ω ( 取π=3.14,π2="9.86" ) ,则下列说法中正确的是![]()
![]()
| A.在任意l s时间内,线圈克服安培力所做的功为49.3J |
| B.任意1s时间内,线圈中电流方向改变20次 |
| C.电流的有效值为3.14A |
| D.穿过线圈磁通量的最大值为0.1 |
如图甲所示电路中,电感为L的线圈与电流表A串联后接在交流电源上,当电路中通过如图乙所示正弦式交变电流时,下列说法中正确的是![]()
| A.电流表读数为5A |
| B.L越大,电感对交流电阻碍作用越大 |
| C.t=2×10-2s时,线圈中自上而下电动势最小 |
| D.t=5×10-3s时,线圈中电流的磁场最强。 |
如图所示,宽度为d的有界匀强磁场竖直向下穿过光滑的水平桌面,一质量为m的椭圆形导体框平放在桌面上,椭圆的长轴平行磁场边界,短轴小于d。现给导体框一个初速度v0(v0垂直磁场边界),已知导体框全部在磁场中的速度为v,导体框全部出磁场后的速度为v1;导体框进入磁场过程中产生的焦耳热为Q1,导体框离开磁场过程中产生的焦耳热为Q2。下列说法正确的是![]()
| A.导体框离开磁场过程中,感应电流的方向为顺时针方向 |
| B.导体框进出磁场都是做匀变速直线运动 |
| C.Q1 > Q2 |
| D.Q1 + Q2= |