如图所示,a、b是同种材料的等长导体棒,静止于水平面内的足够长的光滑平行导轨上,b棒的质量是a棒的两倍。匀强磁场竖直向下。若给a棒以4.5J的初动能,使之向左运动,不计导轨的电阻,则整个过程a棒产生的最大热量是( )![]()
| A.2J | B.1.5J | C.3J | D.4.5J |
如图所示,在光滑水平面上的直线MN左侧有垂直于纸面向里的匀强磁场,右侧是无磁场空间。将两个大小相同的铜质矩形闭合线框由图示位置以同样的速度v向右完全拉出匀强磁场。已知制作这两只线框的铜质导线的横截面积之比是1:2.则拉出过程中下列说法中正确的是 ( )![]()
| A.所用拉力大小之比为2:1 |
| B.通过导线某一横截面的电荷量之比是1:1 |
| C.拉力做功之比是1:4 |
| D.线框中产生的电热之比为1:2 |
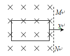
如图所示,一导线弯成半径为a的半圆形闭合回路。虚线MN右侧有磁感应强度为B的匀强磁场。方向垂直于回路所在的平面。回路以速度v向右匀速进入磁场,直径CD始络与MN垂直。从D点到达边界开始到C点进入磁场为止,下列结论正确的是( )![]()
| A.感应电流方向不变 |
| B.CD段直线始终不受安培力 |
| C.感应电动势最大值E=Bav |
| D.感应电动势平均值 |
如右图所示,在纸面内放有一个条形磁铁和一个圆形线圈(位于磁铁正中央),下列情况中能使线圈中产生感应电流的是( )![]()
| A.将磁铁在纸面内向上平移 |
| B.将磁铁在纸面内向右平移 |
| C.将磁铁绕垂直纸面的轴转动 |
| D.将磁铁的N极转向纸外,S极转向纸内 |
如图所示,在通有恒定电流的长直导线旁有一矩形导线框abcd,直导线与线框在同一平面内,下列情况中能使框中有感应电流的是![]()
| A.线框向右平移. |
| B.线框向下平移. |
| C.以直导线为轴旋转过程中. |
| D.以ab边为轴向纸外旋转90°过程中. |
处在磁场中的一闭合线圈,若没有产生感应电流,则可以判定( )
| A.线圈没有在磁场中运动 |
| B.线圈没有做切割磁感线运动 |
| C.磁场没有发生变化 |
| D.穿过线圈的磁通量没有发生变化 |