LC振荡电路中,某时刻的磁场方向如图所示,则下列说法错误的是 ( )![]()
| A.若磁场正在减弱,则电容器正在充电,电流由b向a |
| B.若磁场正在减弱,则电场能正在增大,电容器上板带负电 |
| C.若磁场正在增强,则电场能正在减少,电容器上板带正电 |
| D.若磁场正在增强,则电容器正在充电,电流方向由a向b |
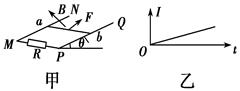
如图9-2-12是某电磁冲击钻的原理图,若突然发现钻头M向右运动,则可能是( )![]()
图9-2-12
①开关S闭合瞬间
②开关S由闭合到断开的瞬间
③开关S已经是闭合的,滑动变阻器滑片P向左迅速滑动
④开关S已经是闭合的,滑动变阻器滑片P向右迅速滑动
| A.①③ | B.①④ |
| C.②③ | D.②④ |
(2011年山东济南模拟)如图9-2-11所示,一轻质横杆两侧各固定一金属环,横杆可绕中心点自由转动,老师拿一条形磁铁插向其中一个小环,后又取出插向另一个小环,同学们看到的现象是( )![]()
图9-2-11
| A.磁铁插向左环,横杆发生转动 |
| B.磁铁插向右环,横杆发生转动 |
| C.无论磁铁插向左环还是右环,横杆都不发生转动 |
| D.无论磁铁插向左环还是右环,横杆都发生转动 |
(2010年高考课标全国卷)如图9-2-10所示,两个端面半径同为R的圆柱形铁芯同轴水平放置,相对的端面之间有一缝隙,铁芯上绕导线并与电源连接,在缝隙中形成一匀强磁场.一铜质细直棒ab水平置于缝隙中,且与圆柱轴线等高、垂直.让铜棒从静止开始自由下落,铜棒下落距离为0.2R时铜棒中电动势大小为E1,下落距离为0.8R时电动势大小为E2.忽略涡流损耗和边缘效应.关于E1、E2的大小和铜棒离开磁场前两端的极性,下列判断正确的是( )![]()
图9-2-10
| A.E1>E2,a端为正 | B.E1>E2,b端为正 |
| C.E1<E2,a端为正 | D.E1<E2,b端为正 |
(2011年湖南长沙市一中月考)如图9-2-9所示的金属圆环放在匀强磁场中,将它从磁场中匀速拉出来,下列说法正确的是( )![]()
图9-2-9
| A.向左拉出和向右拉出,其感应电流方向相反 |
| B.不管从什么方向拉出,金属圆环中的感应电流方向总是顺时针 |
| C.不管从什么方向拉出,环中的感应电流方向总是逆时针 |
| D.在此过程中感应电流大小不变 |
如图3所示,光滑绝缘水平面上有一矩形线圈冲入一匀强磁场,线圈全部进入磁场区域时,其动能恰好等于它在磁场外面时的一半,设磁场宽度大于线圈宽度,那么
( )![]()
| A.线圈恰好在刚离开磁场的地方停下 |
| B.线圈在磁场中某位置停下 |
| C.线圈在未完全离开磁场时即已停下 |
| D.线圈完全离开磁场以后仍能继续运动,不会停下来 |
如图1所示,粗糙水平桌面上有一质量为m的铜质矩形线圈.当一竖直放置的条形磁铁从线圈中线AB正上方等高快速经过时,若线圈始终不动,则关于线圈受到的支持力FN及在水平方向运动趋势的正确判断是 ( )![]()
| A.FN先小于mg后大于mg,运动趋势向左 |
| B.FN先大于mg后小于mg,运动趋势向左 |
| C.FN先小于mg后大于mg,运动趋势向右 |
| D.FN先大于mg后小于mg,运动趋势向右 |
如图11所示,AOC是光滑的金属轨道,AO沿竖直方向,OC沿水平方向,PQ是一根金属直杆如图所示立在导轨上,直杆从图示位置由静止开始在重力作用下运动,运动过程中Q端始终在OC上,空间存在着垂直于纸面向外的匀强磁场,则在PQ杆滑动的过程中,下列判断正确的是 ( )![]()
| A.感应电流的方向始终是由P→Q |
| B.感应电流的方向先是由P→Q,后是由Q→P |
| C.PQ受磁场力的方向垂直杆向左 |
| D.PQ受磁场力的方向先垂直于杆向左,后垂直于杆向右 |
(2010·南京模拟)如图10所示,通过水平绝缘的传送带输送完全相同的铜线圈,线圈均与传送带以相同的速度匀速运动.为了检测出个别未闭合的不合格线圈,让传送带通过一固定匀强磁场区域,磁场方向垂直于传送带,线圈进入磁场前等距离排列,穿过磁场后根据线圈间的距离,就能够检测出不合格线圈,通过观察图形,判断下列说法正确的是
( )![]()
| A.若线圈闭合,进入磁场时,线圈相对传送带向后滑动 |
| B.若线圈不闭合,进入磁场时,线圈相对传送带向后滑动 |
| C.从图中可以看出,第2个线圈是不合格线圈 |
| D.从图中可以看出,第3个线圈是不合格线圈 |