三个电子各具有与磁场方向垂直的速度v、2v、3v,则它们在匀强磁场中回旋的半径之比和频率之比为( )
| A.1∶2∶3,1∶2∶3 | B.1∶2∶3,1∶1∶1 |
| C.1∶1∶1,1∶2∶3 | D.1∶1∶1,1∶1∶1 |
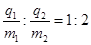
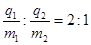
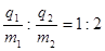
两个带电粒子以同一速度,并从同一位置进入匀强磁场,在磁场中它们的轨迹如图所示(完成两个半圆运动).粒子
的轨迹半径为
,粒子
的轨迹半径为
,且
,
、
分别是它们的带电量,则 ( )
| A. |
| B. |
| C. |
| D. |
一个带电粒子以某一初速度射入匀强磁场中,不考虑其它力的作用,粒子在磁场中不可能做
| A.匀速直线运动 |
| B.匀变速直线运动 |
| C.匀变速曲线运动 |
| D.匀速圆周运动 |
如图所示,MDN为绝缘材料制成的光滑竖直半圆环,半径为R,直径MN水平,整个空间存在方向垂直纸面向外的匀强磁场,磁感应强度为B,一带电荷量为-q,质量为m的小球自M点无初速下落,从此一直沿轨道运动,下列说法中正确的是![]()
| A.由M滑到最低点D时所用时间与磁场无关 |
| B.球滑到D点时,对D的压力一定大于mg |
| C.球滑到D时,速度大小v= |
| D.球滑到轨道右侧时,可以到达轨道最高点N |
下列关于磁场中的通电导线和运动电荷的说法中,正确的是
| A.磁场对通电导线作用力的方向就是该处的磁场方向 |
| B.通电导线所处位置的磁感应强度等于导线所受的安培力与导线中的电流强度和导线长度乘积的比值 |
| C.运动电荷只受洛伦兹力作用时,必做匀速圆周运动 |
| D.运动电荷只受洛伦兹力作用时,其动能不变 |
如图所示,在边长为L的正方形ABCD 区域内存在方向垂直纸面向外的匀强磁场.一带电粒子(重力不计)以速度v 沿AB 边方向射人磁场,之后粒子恰好从CD 边的中点E 射出,则![]()
| A.该粒子一定带负电 |
| B.该粒子在磁场中做圆周运动的轨道半径为L/2 |
| C.若该粒子射人磁场的速度大小为2v,方向不变,则粒子将从BC 边的中点F 射出 |
| D.若该粒子射人磁场的速度大小为2v,方向不变,则粒子在磁场中的运动时间是原来的1/2 |
如图所示,甲带正电,乙是不带电的绝缘块,甲、乙叠放在一起置于光滑的水平地面上,空间存在着水平方向的的匀强磁场,在水平恒力F的作用下,甲、乙无相对滑动的一起向左加速运动,在加速运动阶段 ( )![]()
| A.甲、乙两物块之间的摩擦力不断增大 |
| B.甲、乙两物块之间的摩擦力不变 |
| C.甲、乙向左运动的加速度不断减小 |
| D.甲对乙的压力不断增大 |