每时每刻都有大量宇宙射线向地球射来,地磁场可以改变射线中大多数带电粒子的运动方向,使它们不能到达地面,这对地球上的生命有十分重要的意义。假设有一个带正电的宇宙射线粒子正垂直于地面向赤道射来,在地磁场的作用下,它将( ) ![]()
| A.向东偏转 |
| B.向南偏转 |
| C.向西偏转 |
| D.向北偏转 |
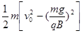
如图所示,有一个质量为m,带电量为q的小球停在绝缘的水平面上,并且处在磁感应强度为B,方向垂直向纸内的匀强磁场中,为了使小球能飘离平面,现将匀强磁场平行于纸面运动,其速度的大小和方向应该是( ) ![]()
| A.大小为 | B.大小为 |
| C.大小为 | D.大小为 |
如图,MN是匀强磁场中的一块薄金属板,带电粒子(不计重力)在匀强磁场中运动并穿过金属板,运动轨迹如图中曲线,则可判定![]()
| A.粒子带正电 |
| B.粒子的旋转方向是abcde |
| C.粒子的旋转方向是edcba |
| D.粒子在上半周所用时间比下半周所用时间长 |
两个电子以大小不同的初速度沿垂直磁场的方向射入同一个匀强磁场中。设r1、r2为这两个电子的运动轨道半径,T1、T2是它们的运动周期,则( )
| A.r1=r2,T1≠T2 | B.r1≠r2,T1≠T2 |
| C.r1=r2,T1=T2 | D.r1≠r2,T1=T2 |
如图所示,若一束电子沿y轴正向移动,则在z轴上某点A的磁场方向应是( )![]()
| A.沿x的正向 | B.沿x的负向 |
| C.沿z的正向 | D.沿z的负向 |
两个电子以大小不同的初速度沿垂直磁场的方向射入同一个匀强磁场中。设r1、r2为这两个电子的运动轨道半径,T1、T2是它们的运动周期,则( )
| A.r1=r2,T1≠T2 | B.r1≠r2,T1≠T2 |
| C.r1=r2,T1=T2 | D.r1≠r2,T1=T2 |
如图所示,一电子束沿图中箭头所示方向通过两磁极间时,其偏转方向为( )![]()
| A.向上 | B.向下 | C.向N极 | D.向S极 |
在北半球,地磁场磁感应强度的一个分量竖直向下(以“×”表示)。如果你家中电视机显像管的位置恰好处于南北方向,那么由南向北射出的电子束在地磁场的作用下将向哪个方向偏转( )
| A.不偏转 |
| B.向东 |
| C.向西 |
| D.无法判断 |
如图所示,在垂直纸面向里的匀强磁场中,有a、b两个电子从同一处沿垂直磁感线方向开始运动,a的初速度为v,b的初速度为2v.则 ( )![]()
| A.a先回到出发点 | B.b先回到出发点 |
| C.a、b同时回到出发点 | D.不能确定 |