在如图所示电路中,R1、R2、R3 和R4皆为定值电阻,R5为可变电阻,电源电动势为E,内阻为r。设电流表A的读数为I,电压表V的读数为U。当R5的滑动触点向图中a端移动时![]()
| A.I变大,U变小 | B.I变大,U变大 |
| C.I变小,U变大 | D.I变小,U变小 |
如图所示的电路中,当滑动变阻器的滑动头向上移动时,下列结论正确的是( )![]()
| A.电压表的示数增大,电流表的示数减小. |
| B.电压表和电流表的示数都增大. |
| C.电压表的示数减小,电流表的示数增大. |
| D.电压表和电流表的示数都减小. |
如图所示的电路中,三个电压表对应的读数分别为U1、U2、U3,若移动滑动变阻器滑片后,三个电压表读数改变量的绝对值分别为ΔU1、ΔU2、ΔU3,则 ![]()
| A.若U1减小则U3一定减小 |
| B.U1=U2+U3 |
| C.ΔU1=ΔU2+ΔU3 |
| D.若U3突然增大,可能是左侧的定值电阻断路 |
如图3所示电路,开始时K处于断开状态,A1、A2、V1、V2示数分别为I1、I2、U1、U2,现将K闭合,下列对各表读数的变化情况判断正确的是( )![]()
| A.U1减小 | B.U2增大 |
| C.I1增大 | D.I2增大 |
如图所示电路中,电源的内电阻不能忽略.已知定值电阻R1=10Ω,R2=8Ω.当开关S接到位置1时,电压表V的示数为2V;当开关S接到位置2时,电压表V的示数可能为( ) ![]()
| A.2.2V. | B.1.8V. | C.1.7V. | D.1.6V. |
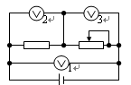
如图电路的电源电动势E=6V,内阻r=1Ω,R1=3Ω,R2=3Ω,R3=6Ω,电表内阻的影响不计。则电压表的示数U和电流表的示数I为( )![]()
| A.U=5V I=1A | B.U=1V I=1A |
| C. U=5V I="2/3" A | D.U=1V I=2/3A |
在图所示的电路中,电源电动势为E、内电阻为r.在滑动变阻器的滑动触片P从图示位置向下滑动的过程中:![]()
| A.电路中的总电流变大 |
| B.路端电压变大 |
| C.通过电阻R2的电流变小 |
| D.通过滑动变阻器R1的电流变小 |
如图所示的电路中,当滑动变阻器R0的滑动触头向下滑动时: ![]()
| A.R1上消耗的电功率减小 |
| B.电压表V的示数减小 |
| C.电源消耗的功率变大 |
| D.电容器C两极板间的电场强度变大 |
某兴趣小组设计了一个火灾报警装置,其电路如图所示,R1、 R3为定值电阻,热敏电阻R2的阻值随温度t变化的关系是
,通过电压表示数和灯泡亮度变化可监控R2所在处的火情.若R2所在处出现火情,则![]()
| A.电压表示数变大 | B.电压表示数变小 |
| C.灯泡变亮 | D.灯泡变暗 |