如图所示,电路两端的电压保持不变,当滑动变阻器的滑动触头P向右移动时,三个灯泡亮度的变化情况是( )![]()
| A.L1变亮,L2和L3皆变暗 |
| B.L1变亮,L2不能确定,L3变暗 |
| C.L1变亮,L2变亮,L3也变亮 |
| D.L1变亮,L2变亮,L3变暗 |
如图所示,R1=10Ω,R2=20Ω,R3=30Ω,接在电源上时,功率分别为P1、P2、P3,则( )![]()
| A.P1>P2>P3 | B.P1=P2=P3 |
| C.P2<P1<P3 | D.P1<P2<P3 |
如图所示,电灯L1、L2上分别有“220V,100W”、“220V,40W”字样,那么![]()
| A.a、b接220V电压时,L1、L2均能正常发光 |
| B.a、b接440V电压时,L1、L2均能正常发光 |
| C.无论 a、b两端接多少伏电压,L1、L2都不可能正常发光; |
| D.无论 a、b两端接多少伏电压,L1肯定不能正常发光; |
一个T型电路如图所示,电路中的电
, ![]()
.另有一测试电源,电动势E=100V,内阻忽略不计。则![]()
| A.当cd端短路时,ab之间的等效电阻是40 |
| B.当ab端短路时, cd之间的等效电阻是40 |
| C.当ab两端接通测试电源时, cd两端的电压为75 V |
| D.当cd两端接通测试电源时, ab两端的电压为80 V |
有两只电流表A1、A2是由完全相同的小量程电流表G1、G2改装而成,A1的量程为I1=0.6A,A2的量程为I2=3A两表接入电路后均末烧坏,则 ( )
| A.A1、A2表的内阻之比为R1: R2 =1:5 |
| B.将A1、A2串联接入电路后,指角偏角之比为5:1 |
| C.将A1、A2串联接入电路后,读数之比为5:1 |
| D.将A1、A2并联接入电路后,读数之比为1:5 |
下列各种说法中正确的是 ( )
| A.电流的定义式 |
| B.电源的负载增加,输出功率一定增大 |
| C.电动势为1.5V的干电池,表明干电池可以使1C的电量具有1.5J的电能 |
| D.从 |
将一块内阻为600Ω,满偏电流为50
的电流表G改装成量程为3V的电压表,应该:
| A.串联一个60.0KΩ的电阻 | B.并联一个60.0KΩ的电阻 |
| C.串联一个59.4KΩ的电阻 | D.并联一个59.4KΩ的电阻 |
如图所示,当开关S闭合,两表均有示数,过一会儿发现电压表示数突然变小,电流表示数突然变大,下列故障判断可能是( )![]()
| A.L1短路; | B.L2灯短路; |
| C.L1灯丝断开; | D.L2灯丝断开。 |
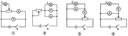
在测量电珠伏安特性实验中,同学们连接的电路中有四个错误电路,如图所示。电源内阻不计,导线连接良好,若将滑动的变阻器的触头置于左端,闭合S,在向右端滑动触头过程中,会分别出现如下四种现象:![]()
a.电珠L不亮;电流表示数几乎为零
b.电珠L亮度增加;电流表示数增大
c.电珠L开始不亮;后来忽然发光;电流表从示数不为零到线圈烧断
d.电珠L不亮;电流表从示数增大到线圈烧断
与上述a b c d四种现象对应的电路序号为
| A.③①②④ | B.③④②① | C.③①④② | D.②①④③ |