关于电源的说法,正确的是( )
| A.在电源内部从正极到负极电势逐渐提高 |
| B.电源向外提供的电能越多,表明电动势越大 |
| C.电动势在数值上等于电源将单位正电荷从负极移到正极时,非静电力做的功 |
| D.E= |
有一横截面积为S的铜导线,流经其中的电流为I,设每单位体积中有n个自由电子,电子的电量为q,此时电子的定向移动速率为v,在t时间内,通过导体横截面的自由电子数可表示为( )
| A.nvSt | B.nvt | C. | D. |
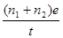
如图所示,在1价离子的电解质溶液内插有两根碳棒A和B作为电极,将它们接在直流电源上,于是溶液里就有电流通过。若在t秒内,通过溶液内截面S的正离子数为n1,通过的负离子数为n2,设基本电荷为e,则以下说法中正确的是 ( )![]()
| A.正离子定向移动形成的电流方向从A→B,负离子定向移动形成的电流方向从B→A |
| B.溶液内由于正负离子移动方向相反,溶液中的电流抵消,电流等于零 |
| C.溶液内的电流方向从A→B,电流I= |
| D.溶液内的电流方向从A→B,电流I= |
横截面的直径为d、长为l的导线,两端电压为U,当这三个量中一个改变时,对自由电子定向运动的平均速率的影响是( )
| A.电压U加倍,自由电子定向运动的平均速率不变 |
| B.导线长度l加倍,自由电子定向运动的平均速率加倍 |
| C.导线横截面的直径加倍,自由电子定向运动的平均速率不变 |
| D.以上说法均不正确 |
通过一个电阻的电流是5A,经过4min,通过该电阻的一个截面的电量是
| A.20C | B.50C |
| C.1200C | D.2000C |
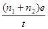
如图所示,在1价离子的电解质溶液内插有两根碳棒A和B作为电极,将它们接在直流电源上,于是溶液里就有电流通过。若在t秒内,通过溶液内截面S的正离子数为n1,通过的负离子数为n2,设基本电荷为e,则以下说法中正确的是( )![]()
| A.正离子定向移动形成的电流方向从A→B,负离子定向移动形成的电流方向从B→A |
| B.溶液内由于正负离子移动方向相反,溶液中的电流抵消,电流等于零 |
| C.溶液内的电流方向从A→B,电流I= |
| D.溶液内的电流方向从A→B,电流I= |
有一横截面积为S的铜导线,流经其中的电流为I,设每单位体积的导线有n个自由电子,电子电量为e,此时电子的定向移动速度为υ,在△t时间内,通过导体横截面的自由电子数目可表示为:( )
| A.nυS△t | B.nυ△t | C.I△t/e | D.I△t/(Se) |
在右图示的电解池中,测得在5秒钟内共有7.5C正电荷和7.5C的负电荷通过池的竖直截面OO/,则电路中电流表指示的读数应为( )![]()
| A.0 | B.1.5 A | C.3 A | D.7. 5 A |
关于电动势,下列说法错误的是
| A.电源电动势的数值等于内、外电压之和 |
| B.电动势越大的电源,将其他形式的能转化为电能的本领越大 |
| C.电源两极间的电压等于电源电动势 |
| D.电源电动势与外电路的组成无关 |