初速度为v0的电子,沿平行于通电长直导线的方向射出,直导线中电流方向与电子的初始运动方向如图所示,则
| A.电子将向右偏转,速率不变 |
| B.电子将向右偏转,速率改变 |
| C.电子将向左偏转,速率不变 |
| D.电子将向左偏转,速率改变 |
如图所示,虚线a、b、c代表电场中的三个等势面,相邻等势面之间的电势差相等,即Uab=Ubc,实线为一带正电的质点仅在电场力作用下通过该区域时的运动轨迹,P、Q是这条轨迹上的两点,据此可知![]()
| A.三个等势面中,a的电势最高 |
| B.带电质点通过P点时的电势能较大 |
| C.带电质点通过P点时的动能较大 |
| D.带电质点通过P点时的加速度较大 |
某带电粒子(不计重力)仅在电场力作用下由A点运动到B点,电场线、粒子运动轨迹如图所示,则可以判定![]()
| A.粒子在A点的加速度小于它在B点的加速度 |
| B.粒子在A点的动能小于它在B点的动能 |
| C.粒子在A点的电势能小于它在B点的电势能 |
| D.该电场中A点的电势低于B点的电势 |
一带电量为q的电荷绕带电量为Q的正电荷做椭圆运动,轨迹如图所示.已知
<<
,M、N为椭圆轨迹上的两点.下列判断正确的是 ![]()
| A.q带正电 |
| B.M点的电场强度比N点的大 |
| C.M点的电势比N点的高 |
| D.q经M点时的加速度比经过N点时的小 |
如图所示,图中K、L、M为静电场中的3个相距较近的等势面.一带电粒子射入此静电场中后,只在电场力的作用下沿abcde轨迹运动。已知φk<φL<φM,下列判断中正确的是![]()
| A.粒子带负电 |
| B.粒子在a点的速度小于在b点的速度 |
| C.粒子在a点与e点的速度大小相等 |
| D.粒子在a点的电势能大于在d点的电势能 |
如图所示,一个带电油滴从O点以初速度v0向右上方射入无限大的匀强电场E中,v0的方向与E方向成α角.现测得油滴到达运动轨迹的最高点P时速度大小仍为v0,则下列说法正确的是 ( ) ![]()
| A.P点可能在O点的右上方 |
| B.P点可能在O点的左上方 |
| C.到达最高点P时,重力和电场力对油滴做功的功率都为0 |
| D.从抛出到最高点的过程中,油滴电势能的减少量一定等于重力势能的增加量 |
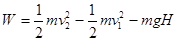
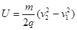
,A、B两点之间的高度差与水平距离均为H.则以下判断中正确的是